生物及医药化学品
2024-10-22 14:52 1
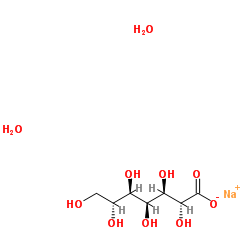
中文名称:Α-D-葡庚糖酸钠盐中文别名:Α-D-葡庚糖酸钠盐;葡庚糖酸钠/SODIUM GLUCOHEPTONATE;葡庚糖酸钠(50%液体);ALPHA-D-葡庚
云试剂商城所经营的试剂、药辅产品用于科学研究、生物制药等多个领域,不可直接用于临床诊断或治疗,不可食用。
本站所有产品、资讯、百科、广告等信息由东莞市瓦高信息科技有限公司提供并优化运营!
©2012-2024 云试剂(www.yunshiji.cn) All Rights Reserved 粤ICP备11058833号
粤公网安备44196802000105号 客服电话:400-6226-992
周一至周五:08:00-17:30
周六:08:00-12:00

