| <table "> |
醋酸妊娠双烯醇酮酯杂质F
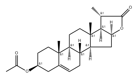
| CAS号:1173-11-1英文名:16-Dehydro Pregnenolone Acetate Impurity 3英文别名:16-Dehydropregnenolone Acetate Impurity F;16-Dehydro Pregnenolone Acetate Impurity 3;Pregn-5-ene-20-carboxylic acid, 3-(acetyloxy)-16-hydroxy-, γ-lactone, (3β,16β,20S)-中文名:醋酸妊娠双烯醇酮酯杂质F中文别名:醋酸妊娠双烯醇酮酯杂质FCBNumber:CB94797567分子式:C24H34O4分子量:386.53MOL File:1173-11-1.mol |



VIP会员
粤公网安备44196802000105号