马来酸桂哌齐特
背景及概述药理作用合成路线药代动力学临床应用规格用法用量不良反应注意事项禁忌孕妇及哺乳期妇女用药主要参考资料 用途与合成方法 MSDS 马来酸桂哌齐特价格(试剂级) 上下游产品信息 专题
| 中文名称 | 马来酸桂哌齐特 |
|---|---|
| 中文同义词 | 马来酸桂哌齐特;1-[(1-吡咯烷甲酰)甲基]-4-(3,4,5-三甲氧基肉桂酰基)哌嗪顺丁烯二酸盐;马来酸桂哌奇特;马来酸桂哌齐特(为自有专利合成路线);(E)-1-{4-[(3,4,5’-三甲氧基肉桂酰基)]-1-哌嗪}乙酰吡咯啶顺丁烯二盐酸;来酸桂哌齐特;马来酸桂哌齐特杂质;桂哌齐特杂质1385 |
| 英文名称 | Cinepazide maleate |
| 英文同义词 | 1-(1-Pyrrolidinylcarbonyl)methyl)-4-(3',4',5'-trimethoxycinnamoyl);1-((1-pyrrolidinylcarbonyl)methyl)-4-(3,4,5-trimethoxycinnamoyl)piperazinem;1-(4-((3’,4’,5’-trimethoxycinnamoyl)-1-piperazinyl)acetyl)pyrrolidinemaleate;4-(3,4,5-trimethoxycinnamoyl)-1-(1-pyrrolidinyl)carbonylmethylpiperazinemale;brendil;2-Propen-1-one, 1-[4-[2-oxo-2-(1-pyrrolidinyl)ethyl]-1-piperazinyl]-3-(3,4,5-trimethoxyphenyl)-, (2Z)-2-butenedioate (1:1);(E)-1-(4-(2-oxo-2-(pyrrolidin-1-yl)ethyl)piperazin-1-yl)-3-(3,4,5-trimethoxyphenyl)prop-2-en-1-one maleate;maleatedecinepazide |
| CAS号 | 26328-04-1 |
| 分子式 | C26H35N3O9 |
| 分子量 | 533.57 |
| EINECS号 | 247-613-1 |
| 相关类别 | 原料中间体-原料药;医药原料;医药原料;小分子抑制剂;医药原料药;医药中间体;医药、农药及染料中间体;化工;原料药;化学试剂;Pharmaceutical intermediate |
| Mol文件 | 26328-04-1.mol |
| 结构式 | ![]() |
马来酸桂哌齐特 性质
| 熔点 | 135° |
|---|---|
| 储存条件 | under inert gas (nitrogen or Argon) at 2-8°C |
| 溶解度 | 可溶于DMSO(少许)、甲醇(少许) |
| 形态 | 固体 |
| 颜色 | 米白色 |
| Merck | 14,2291 |
| CAS 数据库 | 26328-04-1(CAS DataBase Reference) |
马来酸桂哌齐特 用途与合成方法
背景及概述
脑梗死是指局部脑组织包括神经细胞、胶质细胞和血管由于血液供应缺乏而发生的坏死,其根本原因是供应脑部血液的颅外或颅内动脉中发生闭塞性病变而未能获得及时、充分的侧支循环,使局部脑组织的代谢需要与可能得到的血液供应之间发生超过一定限度的供不应求现象所致,恢复脑梗死患者的神经功能是治疗的主要目的。马来酸桂哌齐特可较好地扩张血管,防止血管痉挛,有明显改善动脉供血的作用。
马来酸桂哌齐特(Cinepazide maleate)是由法国 Sanofi-Aventis公司开发并于 1974 年首先于法国上市,1980年在西班牙上市,2002年在中国上市。马来酸桂哌齐特为钙离子通道阻滞剂,通过阻止Ca2+跨膜进入血管平滑肌细胞,使血管平滑肌松弛,脑血管、冠状血管和外周血管扩张,从而缓解血管痉挛,降低血管阻力,增加血流量。此外,马来酸桂哌齐特还能增强腺苷和环磷酸腺苷(c AMP)的作用,降低氧耗;抑制c AMP 磷酸二酯酶,使cAMP数量增加;提高红细胞的柔韧性、 变形性及通过毛细血管的能力,降低血液的黏性,改善微循环;提高脑血流量,改善细胞营养、能量代谢及抗缺血缺氧能力,保护脑细胞功能;抑制血小板凝聚,减少氧自由基产生,减少中性粒细胞对血管内皮细胞的趋化,提高红细胞的韧性和变形能力,并降低血液黏度,从而改善微循环灌注。临床上马来酸桂哌齐特主要应用于心脑血管疾病的治疗,尤其适用于脑动脉硬化、短暂性脑缺血发作、脑血栓形成、脑栓塞、脑出血后遗症和脑外伤后遗症。而且对心血管疾病和外周血管疾病具有一定疗效。据中国化学制药工业协会信息部分析报告显示,2009年样本医院马来酸桂哌齐特用药达到3.85亿元,同比上一年增长了17.04%。
药理作用
腺苷增效作用:马来酸桂哌齐特具有独特的腺苷增效作用,其通过阻滞细胞对腺苷重吸收及抑制腺苷脱氨酶活性,阻滞腺苷失活过程,延缓腺苷的代谢过程,从而提高病变局部内源性腺苷的浓度,增强内源性腺苷的生物学作用。
扩血管作用:马来酸桂哌齐特具有弱钙离子阻滞作用,可拮抗钙离子超载,显著扩张血管,对冠状动脉、脑血管及外周血管有良好的解痉和扩张作用。
改善血液流变学:马来酸桂哌齐特可以抑制血小板凝聚,减少氧自由基产生,减少中性粒细胞对血管内皮细胞的趋化作用,增加细胞的韧性和变形能力,并降低血液黏度,从而改善微循环灌注。
合成路线
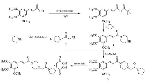
路线1:以氯乙酰氯为原料与四氢吡咯反应制备 N-( 2-氯乙酰基) 四氢吡咯(1);以 (E) -3,4,5-三甲氧基肉桂酸为原料,与特戊酰氯反应制备混合酸酐,然后与哌嗪反应制备 (E)-1-(3,4,5-三甲氧基) 肉桂酰基哌嗪(2);中间体1与中间体2反应制备桂哌齐特游离碱3,最后在乙醇中与马来酸成盐得目标产物,该路线比较适合工业化生产,具体反应过程如下:

路线2:以 四氢吡咯为原料,先与氯乙酰氯成酰胺,再与哌嗪发生取代反应制得中间体[ (1-四氢吡咯基)甲基] 哌嗪(2);化合物2 与氯乙酰氯和三苯基膦反应,经异丙醇重结晶得到稳定的有机盐(3);化合物3与3,4,5-三甲氧基苯甲醛发生Wittig反应,再与马来酸成盐得目标化合物马来酸桂哌齐特(1)。总收率为52.3%;用乙醇-丁酮重结晶,再用丁酮重结晶可得到马来酸桂哌齐特的稳定晶型。具体反应过程如下:
药代动力学
马来酸桂派齐特口服给药后吸收迅速,约 30~45min 可最大血药浓度3.6~8.3mg/mL。人静脉注射、肌肉注射、口服后血浆药物t1/2分别为30、60、75min, 尿药t1/2为100~120min。在体内分布广泛,以肾、肝、甲状腺等脏器含量较高,主要经肝脏代谢(可转化为不同程度的去甲基代谢物),并从尿中以原形排泄,正常人口服200或400mg,在24h内尿药排泄率约为口服剂量的50 %~70%。动物实验显示,本品口服后在体内分布广泛。
临床应用
心血管疾病:通过有创性的导管检查观察马来酸桂哌齐特对急性心肌梗死(AMI)并充血性心力衰竭患者(CHF)的血流动力学效应,45 例AMI并CHF 患者分为2 组(治疗组25例、对照组 20 例)。用 Swan-Ganz 导管检测应用马来酸桂哌齐特前、后的血流动力学变化,在急诊经皮冠状动脉介入术后2h 静脉滴注马来酸桂哌齐特,结论为马来酸桂哌齐特对AMI并CHF 患者的血流动力学有改善作用;用马来酸桂哌齐特 320mg/d对30例稳定型劳力性心绞痛患者治疗3wk,终末作运动试验和动态心电图复查,并与同等选择条件的安慰剂组作对比观察,结果显示,马来酸桂哌齐特可在一定程度上降低血压,明显减少心绞痛发作频率,提高患者对运动的耐受性;观察 90 例心脑血管病患者应用克林澳后的治疗效果,治疗组 46 例,对照组 44例,治疗方法为 2 组入院后均用抗凝剂、硝酸盐类等口服药,治疗组再用克林澳240mg 加入10%葡萄糖250mL中静脉滴注,1次/d,14d为一个疗程,对照组则用葛根素0.4g 加入10%葡萄糖 250mL中静脉滴注,1次/d,连用14d,结果治疗组对心绞痛缓解总有效率达 93%,对头晕、 头痛、记忆力下降患者总有效率达90%;用克林澳治疗糖尿病合并心绞痛,表明每日静脉滴注克林澳 320mg可以明显改善患者的血流动力学,增加运动耐受性, 降低心绞痛发作次数。
神经内科:用马来酸桂哌齐特注射液治疗急性脑梗死,其中治疗组 22 例,给予 320mg 克林澳,加入5 %葡萄糖或0.9 %氯化钠 500mL中静脉滴注,每日1次,连用14d ,对照组23例,给予丹参灭菌粉末 400mg,治疗期间 2 组均不用钙离子拮抗药及其它脑血管扩张剂、脑代谢改善药,结果表明克林澳治疗组总有效率达 90.9%,对照组总有效率为 82.5%,2 组比较治疗组优于对照组;观察马来酸桂哌齐特治疗急性脑梗死的临床疗效及对血液流变学的影响,用马来酸桂哌齐特注射液为治疗组(36 例),灯盏细辛注射液为对照组(34 例),结果表明马来酸桂哌齐特治疗急性脑梗死有显著疗效,并通过降低血黏度而预防脑梗死的发生和发展;用克林澳治疗脑梗死63 例,观察到克林澳对急性脑梗死患者的神经功能恢复有很好的疗效,总显效率为 87.3 %,在用药时间上24h以内用药的患者总显效率为90.5 %,而12h 以内用药的患者总显效率达100 %,提示早期应用克林澳对患者具有满意的临床疗效。马来酸桂哌齐特在缺血性脑血管病中还具有其他作用,应用马来酸桂哌齐特240mg/d(连用 10d),治疗 60例缺血性脑血管病,观察患者的认知功能,有良好的效果。
神经外科:应用马来酸桂哌齐特注射液治疗30 例急性中重型颅脑损伤 。 治疗组给予马来酸桂哌齐特 160mg 加入5 % 葡萄糖注射液 500m L,1 次/d,静脉滴注,连用 10d,对照组常规给予脱水、激素等相应处理,结果治疗组与对照组比较,10d 内转清醒率、经颅多普勒超声示脑血管痉挛,伤后10d C T示伤灶脑水肿体积及预后良好率均有显著性差异,表明马来酸桂哌齐特能改善急性中重型颅脑损伤后脑血管痉挛,减轻伤灶脑水肿体积,提高患者的清醒率和预后良好率;将40 例急性颅脑损伤患者随机分为马来酸桂哌齐特治疗组和胞二磷胆碱对照组,每组 20 例,根据意识觉醒时间、格拉斯哥昏迷(GCS)评分、TCD 监测脑血流、脑脊液测压、脑水肿情况以及格拉斯哥预后(GOS)评分等,比较 2 组患者病情恢复情况,结果显示与胞二磷胆碱对照组相比,马来酸桂哌齐特能有效缩短患者意识觉醒时间,用药后 10d 内患者转清醒率明显提高,2 组GCS评分相比具有明显统计学差异,治疗结束后,随访 3mo,GOS 评估结果显示马来酸桂哌齐特治疗组患者致残率及死亡率明显降低,患者生活质量有较大改善, 95% 患者可以生活自理,能正常工作,癫痫及其他不良事件发生率低,并显示在脑外伤康复过程中,早期应用马来酸桂哌齐特可及时缓解CVS,减轻脑水肿程度,保证脑细胞功能尽快恢复。
糖尿病及外周血管病:用克林澳治疗糖尿病及外周血管病变,方法为治疗组 70 例用克林澳 160mg 加入0.9 % 氯化钠 250mL中静脉滴注,对照组 72 例用川芎嗪 160mg 加入0.9 %氯化钠500mL中静脉滴注,均每日1次,2wk为一个疗程,结果治疗组总有效率为97.1%,对照组总有效率为 77.8%,显效率有显著性差异;通过临床观察马来酸桂哌齐特治疗糖尿病神经病变的疗效,得出结论马来酸桂哌齐特能改善糖尿病神经病变的病情,其方法为病例选择为诊断明确的 2 型糖尿病并神经病变患者 30 例,给予 320mg 马来酸桂哌齐特加0.9% 氯化钠 100~250m L中静脉滴注,1 次/d,14d为一个疗程,用药后患者的自觉症状和体症及神经传导速度均有明显改善。
耳鼻喉科:应用马来酸桂哌齐特注射液治疗突发性耳聋患者60 例,其中治疗组马来酸桂派齐特320mg加入0.9 %氯化钠注射液300mL中静脉滴注,同时辅以吸氧及地塞米松15mg 静脉滴注,3d 后逐渐减量,1次/d,10d 为一个疗程;对照组给予低分子右旋糖酐500mL、复方丹参注射液 16mL静脉滴注,吸氧时间和流量以及地塞米松用量均同治疗组,1次/d,10d 为一个疗程,结果表明马来酸桂哌齐特对突发性耳聋的疗效明显优于对照组,对伴有眩晕、耳鸣的患者经该药治疗后,眩晕、耳鸣多能好转。将豚鼠分为马来酸桂哌齐特组、生理盐水组,分别注射后15min行白噪声,暴露 60min/d,连续 9d,并在暴露后不同时间(1、3、5、7、9d)分别测试听脑干反应,并用扫描电镜观察耳蜗毛细胞的结构变化,结果显示:1)生理盐水组耳蜗内、外毛细胞均有听毛紊乱、融合及损失,马来酸桂哌齐特组耳蜗病变比生理盐水组轻,听毛仅有轻微倾倒、融合现象;2)无论任何时段马来酸桂哌齐特组豚鼠听脑干反应阀移小于生理盐水组;3)马来酸桂哌齐特组豚鼠在噪声暴露后第 7 天听脑干反应阈值已接近正常((9.18±3. 47)、(6. 93±3. 24)dB,P > 0. 05),而生理盐水组豚鼠在噪声暴露后第 9 天听脑干反应阈值与正常组相比仍有显著性差异((16.84±3.78)、(7.82±3.01)dB, P<0.05),结论马来酸桂哌齐特能够减轻噪声对耳蜗毛细胞的损害,对噪声性听力损伤具有明显的保护作用。
眼科:对 30 例(30只眼)视网膜脱离行巩膜扣带术后给予马来酸桂哌齐特治疗,观察其对术后早期眼的血供效果。治疗组静脉滴注马来酸桂哌齐特 160mg/d-1,共14d;对照组静脉滴注5 % 葡萄糖注射液 250mg/d,共14d,分别于用药前后应用彩色多普勒成像(CDI)准确获取患者的眼动脉(OA)、视网膜中央动脉(CRA)的收缩期峰值流速(Vmax)、舒张末期流速(Vmin)及阻力指数(RI)。结果显示治疗组与对照组比较,治疗组的OA 的Vmax 增加,RI 降低;CRA的 RI降低,表明马来酸桂哌齐特可在一定程度上改善巩膜扣带术后眼的血供。
其他:研究表明使用克林澳治疗脊髓损伤手术患者具有较好的保护脊髓神经组织、减轻水肿、提高脊髓供血的作用。将克林澳用于血管吻合术后患者也取得了术后血管危象发生少、肢体存活率高、功能恢复良好的满意效果,但因研究病例数较少,未见相关报道,尚需进一步深入研究。
规格
注射液:2ml:80mg
用法用量
一次4支,溶于500ml10%的葡萄糖或生理盐水中,静脉滴注,速度为100ml/h;一日1次。
不良反应
给突发性耳聋患者给予马来酸桂哌齐特注射液 320mg加入氯化钠注射液 250 mL中静滴,滴速46滴/ min。静滴 6 min时,患者感全身皮肤发热,瘙痒, 前胸及颈前可见散在的、高出皮面、大小不等、 压之褪色的皮疹,可见抓痕,考虑为过敏,即刻停用此药。给予氯化钠注射液250 mL 静滴,地塞米松2mg滴入,10 min后,上述症状缓解,皮疹逐渐消退。本品偶见消化系统不适、头痛、 失眠、皮疹等不良反应。
注意事项
1. 马来酸桂哌齐特应用于临床治疗过程中时,应注意血液学的观察。
2. 服本药期间,考虑临床效果及副作用的程度再慎重决定,给药1-2周后,若未见效果可停止服用。
3. 有白血球减少症状病史的人禁用。
禁忌
1.脑内出血后止血不完全者(止血困难的人)禁用。
2.白血球减少者禁用。
3.服用本品造成白血球减少史的患者及对本品过敏的患者禁用。
孕妇及哺乳期妇女用药
对哺乳和怀孕的大鼠研究发现,该药在乳汁中有明显的分泌,并有少量药物可透过胎盘。故孕妇 、 哺乳期妇女慎用。
主要参考资料
[1] 李英铁等. 马来酸桂哌齐特合成工艺的改进. 沈阳药科大学学报. 2009,26(2):116-118.
[2] 冯国龙等. 马来酸桂哌齐特的研究进展.河北化工.2011,34(8):23-24.
[3] 卢芳芳等. 马来酸桂哌齐特治疗脑梗死的研究进展与评价. 中国医药导报.2009,6(27):7-8.
[4] 张晓霞等. 马来酸桂哌齐特的药理作用及临床应用研究. 中国药房.2007,18 (26): 2060-2062
[5] 王绍杰等. 马来酸桂哌齐特的合成. 中国药物化学杂志.2010,20(4):278-281.
[6] 马来酸桂哌齐特注射液说明书.
[7] 赵丽晶等. 马来酸桂哌齐特的药理作用及临床应用. 吉林医药学院学报. 2010,31(5):296-299
用途
来酸桂哌齐特用 途:1.脑血管疾病:脑动脉硬化、一过性脑缺血、脑血栓、脑栓塞、脑出血及脑外伤后遗症。2.心血管疾病,用于动脉硬化、心绞痛,心肌梗塞患者应配合相关药物治疗。3.眼底血管性疾病、缺血所致耳蜗前庭功能失调、突发性耳聋、耳鸣。4.糖尿病引起的微循环障碍(糖尿病足、糖尿病视网膜病变等)。5.其它外周血管性疾病:血栓闭塞性脉管炎、动脉炎、雷诺氏病、下肢动脉粥样硬化等。
安全信息
| 海关编码 | 2933.59.5300 |
|---|---|
| 毒性 | LD50 in mice, rats (mg/kg): 1000, 1310 orally; 617, 414 i.v. (Pourrias) |
MSDS信息
马来酸桂哌齐特 价格(试剂级)
| 更新日期 | 产品编号 | 产品名称 | CAS号 | 包装 | 价格 |
|---|---|---|---|---|---|
| 2024/08/19 | HY-66010 | 马来酸桂哌齐特 Cinepazide Maleate | 5 mg | 110元 | |
| 2024/08/19 | HY-66010 | 马来酸桂哌齐特 Cinepazide Maleate | 10 mg | 175元 |



VIP会员
粤公网安备44196802000105号