琥珀酰磺胺噻唑
用途制备生物活性 用途与合成方法 MSDS 琥珀酰磺胺噻唑价格(试剂级) 上下游产品信息 专题
| 中文名称 | 琥珀酰磺胺噻唑 |
|---|---|
| 中文同义词 | 琥珀磺胺噻唑;琥珀醯磺胺喹唑;琥珀醯磺胺噻唑;磺胺殺克定;琥珀酰磺胺噻唑 标准品;琥珀酰磺胺噻唑;丁二酰磺胺噻唑;丁二酰磺胺噻唑水合物 |
| 英文名称 | Succinylsulfathiazole |
| 英文同义词 | colistatin;cremosuxidine;kaoxidin;KAOXIDINE;sulfasuccidin;sulfasuccidine;sulfasuccinil;sulfasuccithiazole |
| CAS号 | 116-43-8 |
| 分子式 | C13H13N3O5S2 |
| 分子量 | 355.39 |
| EINECS号 | 204-141-0 |
| 相关类别 | 噻唑;小分子抑制剂;化工产品;标准品;SULFASUXIDINE;Antibacterial;Antibiotics;Antibiotics A to;Antibiotics N-SAntibiotics;Chemical Structure Class;Inhibits an EnzymeAntibiotics;Interferes with DNA SynthesisSpectrum of Activity;Antibiotics for Research and Experimental Use;Biochemistry;Sulfonamides (Antibiotics for Research and Experimental Use);L - ZAntibiotics;Mechanism of Action;Sulfonamides |
| Mol文件 | 116-43-8.mol |
| 结构式 | ![]() |
琥珀酰磺胺噻唑 性质
| 熔点 | 193.5°C |
|---|---|
| 密度 | 1.4807 (rough estimate) |
| 折射率 | 1.6390 (estimate) |
| 储存条件 | Sealed in dry,Room Temperature |
| 溶解度 | 1 M NaOH:可溶50mg/mL |
| 酸度系数(pKa) | pKa 4.5 (Uncertain) |
| 形态 | 粉末 |
| 颜色 | 白色至类白色 |
| 水溶解性 | 0.49g/L(38 ºC) |
| 最大波长(λmax) | 282nm(H2O (pH 3.3 - 5))(lit.) |
| Merck | 14,8877 |
| BRN | 349989 |
| CAS 数据库 | 116-43-8(CAS DataBase Reference) |
| EPA化学物质信息 | Butanoic acid, 4-oxo-4-[[4-[(2-thiazolylamino)sulfonyl]phenyl]amino]- (116-43-8) |
琥珀酰磺胺噻唑 用途与合成方法
用途
琥珀酰磺胺噻唑是一种磺胺类抗生素,可以抑制导致叶酸产生的细菌。琥珀酰磺胺噻唑被用于各种叶酸缺乏症的研究,以阻止叶酸的合成。
制备
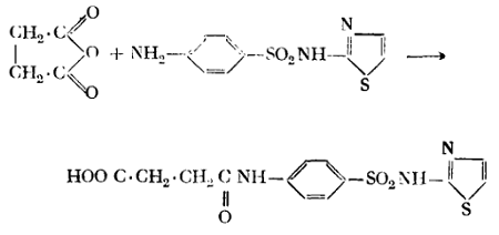
琥珀酰磺胺噻唑的制造,通常均采用琥珀酸酐与磺胺噻唑于干燥有机溶剂中缩合而得,收率92%左右,所用溶剂的选择以亲水性溶剂为佳。琥珀酰磺胺噻唑也可采用固相合成,起始物料仍然采用琥珀酸酐与磺胺噻唑,固相合成比溶剂法缩合好得多。略举其优点如下:1、不需要有机溶剂;2、设备简单、操作容易;3、安全;4、收率高,成本低廉;5、起始物料琥珀酸酐与磺胺噻唑用料比例差额小。制备反应式如下图:

图1 琥珀酰磺胺噻唑制备反应式
生物活性
Succinylsulfathiazole (Succinylsulphathiazole)是一种磺胺类抗生素。
安全信息
| 危险品标志 | Xn |
|---|---|
| 危险类别码 | 42/43 |
| 安全说明 | 22-36/37-45 |
| 危险品运输编号 | 3249 |
| WGK Germany | 3 |
| RTECS号 | WM4767000 |
| 危险等级 | 6.1(b) |
| 包装类别 | III |
| 海关编码 | 29350090 |
MSDS信息
| 提供商 | 语言 |
|---|---|
p-2-Thiazolylsulfamoylsuccinanilic acid | 英文 |
SigmaAldrich | 英文 |
琥珀酰磺胺噻唑 价格(试剂级)
| 更新日期 | 产品编号 | 产品名称 | CAS号 | 包装 | 价格 |
|---|---|---|---|---|---|
| 2024/08/19 | HY-B0921 | 琥珀酰磺胺噻唑 Succinylsulfathiazole | 116-43-8 | 100mg | 500元 |
| 2024/08/19 | S4585 | 琥珀酰磺胺噻唑 Succinylsulfathiazole | 116-43-8 | 100mg | 794.65元 |
琥珀酰磺胺噻唑 上下游产品信息
上游原料
磺胺噻唑丁二酸酐



VIP会员
粤公网安备44196802000105号