四氟苯菊酯
毒性作用机理 价格
| 中文名称 | 四氟苯菊酯 |
|---|---|
| 中文同义词 | 四氟苯菊酯872-89-3;四氟苯菊酯118712-89-3;直销四氟苯菊酯;供应|批发四氟苯菊酯;天然提取物四氟苯菊酯118712-89-3;供应四氟苯菊酯;1R-反式-3-(2,2-二氯乙烯基)-2,2-二甲基环丙烷羧酸-(2,3,5,6,-四氟苯基)甲基酯;四氟菊酯 |
| 英文名称 | Transfluthrin |
| 英文同义词 | TRANSFLUTHRIN;3-(2,2-dichloroethenyl)-2,2-dimethyl-cyclopropanecarboxylic acid (2,3,5,6-tetrafluorophenyl)methylester;2,3,5,6-tetrafluorobenzyl-(1r,s)-trans-3-(2,2-dichlorovinyl)-2, 2-dimethyl-cyclopropanecarboxylate;BAYGON;BAYOTHRIN;TRANSFUTHRIN PESTANAL, 250 MG;Transfluthrin [iso];Cyclopropanecarboxylic acid, 3-(2,2-dichloroethenyl)-2,2-dimethyl-, (2,3,5,6-tetrafluorophenyl)methyl ester, (1R,3S)- |
| CAS号 | 118712-89-3 |
| 分子式 | C15H12Cl2F4O2 |
| 分子量 | 371.15 |
| EINECS号 | 405-060-5 |
| 相关类别 | 农残、兽药及化肥类;分析标准品;农业原料;农药中间体;饲料添加剂;医药原料;有机原料;有机氯杀虫剂;杀虫剂;农药;驱虫杀虫剂;化学农药;农用原药-原药;化工产品-有机化工;Alpha sort;Insecticides;Pesticides;PyrethroidsPesticides&Metabolites;Q-ZAlphabetic;TP - TZ;中间体;农用化学品原料;农用兽用原料;农药-杀虫剂;农用化学品;化工材料;原药;原料药;化工原料;有机中间体;杀虫类;农化类 |
| Mol文件 | 118712-89-3.mol |
| 结构式 | ![]() |
四氟苯菊酯 性质
| 熔点 | 32 °C |
|---|---|
| 沸点 | 135 °C(Press: 0.15 Torr) |
| 密度 | 1.492±0.06 g/cm3(Predicted) |
| 闪点 | >35 °C |
| 溶解度 | 可溶于氯仿(少许)、甲醇(少许) |
| InChIKey | DDVNRFNDOPPVQJ-HQJQHLMTSA-N |
| CAS 数据库 | 118712-89-3(CAS DataBase Reference) |
| EPA化学物质信息 | Cyclopropanecarboxylic acid, 3-(2,2-dichloroethenyl)-2,2-dimethyl-, (2,3,5,6-tetrafluorophenyl)methyl ester, (1R,3S)- (118712-89-3) |
四氟苯菊酯 用途与合成方法
毒性
急性经口LD50( mg/kg):雄/雌大鼠>5000,雄小鼠583,雌小鼠688。雄/雌大鼠急性经皮LD50(24h)>5000mg/kg。雌雄大鼠吸入LC50(4h)>513mg/m3空气。NOEL(2y, mg/L):雄/雌大鼠20,雄/雌小鼠100。
作用机理
作用于神经末赣的钠离子通道,从而引起害虫的死亡。作用特点为吸入、触杀。
化学性质
纯品为有轻微气味的无色晶体,工业品为含有少量结晶物的棕红色稠粘液体,蒸汽压1.1×10-3Pa(20℃),比密度d201.38,不溶于水,能溶于大多数有机溶剂。
用途
四氟苯菊酯是一种用于蛋白质组学研究的含氟芳香族化合物。该品杀虫广谱,能有效的防治卫生害虫和储藏害虫;对双翅目昆虫如蚊类有快速击倒作用,且对蟑螂、臭虫有很好的残留效果。可用于蚊香、气雾杀虫剂、电热片蚊香等多种制剂中。
用途
四氟苯菊酯杀虫广谱,能有效的防治卫生害虫和储藏害虫;对双翅目昆虫如蚊类有快速击倒作用,且对蟑螂、臭虫有很好的残留效果。可用于蚊香、气雾杀虫剂、电热片蚊香等多种制剂中。
生产方法
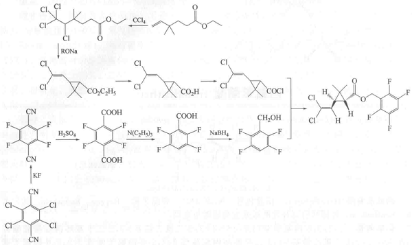
以四氟苯二甲腈为起始原料合成产品四氟苯菊酯,路线如下:

安全信息
| 危险品标志 | Xi;N,N,Xi |
|---|---|
| 危险类别码 | 38-50/53 |
| 安全说明 | 36/37-60-61 |
| 危险品运输编号 | UN 3077 |
| WGK Germany | 2 |
| 海关编码 | 29162090 |
MSDS信息
四氟苯菊酯 农药中毒急救措施
中毒症状
属神经毒剂,接触部位皮肤感到刺痛,尤其在口、鼻周围但无红斑。很少引起全身性中毒。接触量大时会引起头痛、头昏、恶心、呕吐、双手颤抖,全身抽搐或惊厥、昏迷、休克。
急救治疗
[1]无特殊解毒剂,可对症治疗。[2]大量吞服时可洗胃。[3]不能催吐。
注意事项
[1]不能与碱性物质混用。 [2]对鱼、虾、蜜蜂、家蚕等毒性高,使用时勿接近鱼塘、蜂场、桑园,以免污染上述场所



VIP会员
粤公网安备44196802000105号