苯嗪草酮
化学性质商品名称毒性作用机理?合成方法生物活性 用途与合成方法 MSDS 苯嗪草酮价格(试剂级) 上下游产品信息
| 中文名称 | 苯嗪草酮 |
|---|---|
| 中文同义词 | 3-甲基-4-氨基-6-苯基-4,5-二氢-1,2,4-三嗪-5-酮;1-萘基-N-甲基氨基甲酸脂;4-氨基-4,5-二氢基-3-甲基-6-苯基-1,2,4-三嗪-5-酮;苯嗪草;4-氨基-3-甲基-6-苯基-1;4-三嗪-5-酮;4-氨基-3-甲基-6-苯基-1,2,3-三嗪-5-酮;苯嗪草酮标准品 |
| 英文名称 | Metamitron |
| 英文同义词 | 3-methyl-4-amino-6-phenyl-1,2,4-triazin(4h)-on;3-Methyl-4-amino-6-phenyl-1,2,4-triazin(4H)-one;4-Amino-3-methyl-6-phenyl-1,2,4-triazin-5(4H)-one;4-amino-3-methyl-6-phenyl-as-triazin-5(4h)-on;as-Triazin-5(4H)-one, 4-amino-3-methyl-6-phenyl-;Bay-drw 1139;bay-drw1139;Countdown |
| CAS号 | 41394-05-2 |
| 分子式 | C10H10N4O |
| 分子量 | 202.21 |
| EINECS号 | 255-349-3 |
| 相关类别 | 农药原料;除草剂;有机氯杀虫剂;分析标准品;有机原料;农残、兽药及化肥类;三嗪;农药原料;医用原料;农用兽用原料;农药;农用原料;pharmaceutical intermediate Metamitron;farm chemicals;Heterocyclic Compounds;HERBICIDE;Building Blocks;Heterocyclic Building Blocks;Triazines |
| Mol文件 | 41394-05-2.mol |
| 结构式 | ![]() |
苯嗪草酮 性质
| 熔点 | 165-170 °C |
|---|---|
| 沸点 | 340.33°C (rough estimate) |
| 密度 | 1.2165 (rough estimate) |
| 折射率 | 1.6300 (estimate) |
| 闪点 | 11 °C |
| 储存条件 | Keep in dark place,Inert atmosphere,Store in freezer, under -20°C |
| 溶解度 | 可溶于氯仿(少许)、甲醇(少许) |
| 形态 | 固体 |
| 酸度系数(pKa) | 1.54±0.20(Predicted) |
| 颜色 | 白色至浅黄色至浅橙色 |
| 水溶解性 | 1.8g/L(20 ºC) |
| 最大波长(λmax) | 312nm(CH3CN)(lit.) |
| Merck | 14,5924 |
| BRN | 613129 |
| CAS 数据库 | 41394-05-2(CAS DataBase Reference) |
| NIST化学物质信息 | 1,2,4-Triazin-5(4h)-one, 4-amino-3-methyl-6-phenyl-(41394-05-2) |
| EPA化学物质信息 | Metamitron (41394-05-2) |
苯嗪草酮 用途与合成方法
化学性质
苯嗪草酮纯品为无色无味结晶体,熔点166.6℃。蒸气压8.6×10-4mPa(20℃)、2×10-3mPa(25℃)。KowIgP=0.83,Henry常数1×10-7Pa·m /mol(20℃),密度1.35g/cm3(22.5℃C)。溶解度(20℃,g/L):水1.7,异丙醇5.7,甲醇23,乙醇1.1,二氯甲烷30~50,己烷<0.1,环己酮10~50,甲苯2.8,氯仿29。稳定性: 在酸中稳定,在强碱中不稳定(pH>10)。DT50(22℃): 410d(pH 4),740h(pH 7),230h(pH 9)。土壤表层的光解非常迅速,且在水中光解得更为迅速。
商品名称
Allitron 、 Bettix 、Betanal Quattro 、Bietomix 、Goltix 、Mito 、MM-70 、Seismic 、Tornado。其他名称 Bet-tatronex 、Burakomitron 、Danagan 、Defiiant 、Fernpath Haptol 、Goldbeet 、Golijat 、Grizli 、Griz-zly 、Hoop 、Marquise 、Mekor 、Metadil 、Metaflo 、Metagan 、Metapro 、Metatron 、Metrabel、 Metron 、Mitron 、MM70 、Modipur、Sisko 、Skater、Sugar、Tandem 、Toronado、Volcan、Wis-mar、苯甲嗪、苯嗪草
毒性
急性经口LD50( mg/kg):大鼠约2000,小鼠约1450,狗≥1000。大鼠急性经皮LD50>4000mg/kg,对兔皮肤及眼睛无刺激性作用,大鼠吸入LC50(4h)>0.33mg/L空气。NOEL(mg/kg饲料):(2y)大鼠250,狗100;(87周)小鼠56。ADI(EC)0.03mg/kg [2008],(BfR)0.025mg/kg [2006]。
作用机理
光合作用抑制剂。杂草叶子可以吸收苯嗪草酮,但主要是通过根部吸收,再输送到叶子内,药剂通过抑制光合作用中的希尔反应而起到杀草的作用。
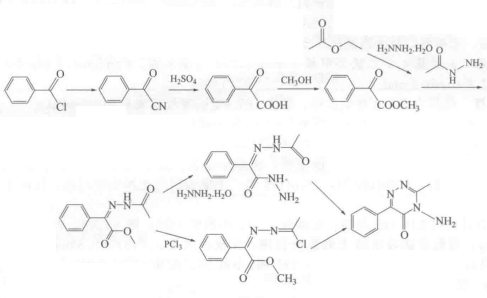
?合成方法
以乙酸乙酯、水合册、苯甲酰氯为起始原料,经如下反应制得苯嗪草酮:

生物活性
Metamitron 是一种出苗前和出苗后的除草剂,用于控制甜菜中的阔叶杂草和草。
用途
光合作用抑制剂。主要用于防治单子叶和双子叶杂草如龙葵、繁缕、早熟禾、看麦娘、猪殃殃等,适用糖用甜菜和饲料甜菜。半衰期三个月。使用剂量3.5-5.0kg/(a.i.)/hm2
类别
农药
毒性分级
中毒
急性毒性
口服-大鼠LD50: 1447 毫克/公斤; 口服-小鼠LD50: 1450 毫克/公斤
可燃性危险特性
可燃;燃烧产生有毒氮氧化物烟雾
储运特性
库房通风低温干燥
灭火剂
干粉、泡沫、砂土、二氧化碳, 雾状水
安全信息
| 危险品标志 | Xn,N,T,F |
|---|---|
| 危险类别码 | 22-50-39/23/24/25-23/24/25-11 |
| 安全说明 | 61-45-36/37 |
| 危险品运输编号 | UN 3077 9/PG 3 |
| WGK Germany | 2 |
| RTECS号 | XZ3015000 |
| 危险等级 | 9 |
| 包装类别 | III |
| 海关编码 | 29336990 |
| 毒性 | LD50 orally in male, female rats, male, female mice: 3343, 1832, 1450, 1463 mg/kg; dermally in rats: >500 mg/kg; LC50 (4 hr) in rats, mice, hamsters (mg/m3): >331, >206, >206 by inhalation (Lembrich) |
MSDS信息
| 提供商 | 语言 |
|---|---|
Metamitron | 英文 |
ACROS | 英文 |
SigmaAldrich | 英文 |
苯嗪草酮 价格(试剂级)
| 更新日期 | 产品编号 | 产品名称 | CAS号 | 包装 | 价格 |
|---|---|---|---|---|---|
| 2024/08/19 | M2388 | 苯嗪草酮 Metamitron | 41394-05-2 | 5g | 190元 |
| 2024/08/19 | M2388 | 苯嗪草酮 Metamitron | 41394-05-2 | 25g | 320元 |



VIP会员
粤公网安备44196802000105号