啶氧菌酯
理化性质背景商品名称应用合成方法药物作用生物活性毒性 用途与合成方法 MSDS 啶氧菌酯价格(试剂级) 上下游产品信息 专题
| 中文名称 | 啶氧菌酯 |
|---|---|
| 中文同义词 | 啶氧菌酯;(E)-3-甲氧基-2-{2-[6-(三氟甲基)-2-吡啶氧甲基]苯基}丙烯酸甲酯;啶氧聚酯;啶氧菌酯溶液,1000PPM;啶氧菌酯 标准品;(E)-Α-甲氧基亚甲基-2-(3-三氟甲基-2-吡啶氧甲基)乙酸苯甲酯;啶氧菌酯TC(原药);甲苯中啶氧菌酯标准品 |
| 英文名称 | Picoxystrobin |
| 英文同义词 | PICOXYSTROBIN;ZA1963;METHYL (E)-ALPHA-METHOXYMETHYLENE-2-(3-TRIFLUOROMETHYL-2-PYRIDYLOXYMETHYL)PHENYLACETATE;ACANTO;Benzeneacetic acid, .alpha.-(methoxymethylene)-2-6-(trifluoromethyl)-2-pyridinyloxymethyl-, methyl ester, (.alpha.E)-;methyl (e)-α-methoxymethylene-2-(3-trifluoromethyl-2-pyridyloxymethyl)phenylacetate;Methyl (E)-3-methoxy-2-{2-[6-(trifluoromethyl)-2-pyridyloxymethyl]phenyl}acrylate;Picoxystrobin [iso] |
| CAS号 | 117428-22-5 |
| 分子式 | C18H16F3NO4 |
| 分子量 | 367.32 |
| EINECS号 | 601-478-9 |
| 相关类别 | 抗生素;杀菌剂类;合成中间体;农业杀菌剂原料;化工产品-有机化工;农药原料;农业原料及制剂-杀菌剂;农药中间体;中间体;农用原药-原药;医用原料;农用兽用原料;Pesticide;原料;农药-杀菌剂;农药原料;杀菌剂;农药原药;医药原料;农用化学品;化学试剂 |
| Mol文件 | 117428-22-5.mol |
| 结构式 | ![]() |
啶氧菌酯 性质
| 熔点 | 75° |
|---|---|
| 沸点 | 453.1±45.0 °C(Predicted) |
| 密度 | d20 1.4 |
| 蒸气压 | 34hPa at 20℃ |
| 储存条件 | Store at -20°C |
| 溶解度 | DMSO:100 mg/mL(272.24 mM;需要超声波) |
| 酸度系数(pKa) | -1.09±0.24(Predicted) |
| 形态 | 固体 |
| 颜色 | 浅黄至棕色 |
| 水溶解性 | 3.25mg/L at 20℃ |
| 稳定性 | 吸湿性 |
| LogP | 3.68 at 20℃ |
| EPA化学物质信息 | Benzeneacetic acid, .alpha.-(methoxymethylene)-2-[[[6-(trifluoromethyl)-2-pyridinyl]oxy]methyl]-, methyl ester, (.alpha.E)- (117428-22-5) |
啶氧菌酯 用途与合成方法
理化性质
啶氧菌酯纯品为白色粉状固体,熔点75℃。蒸气压5.5×10-3mPa(20℃),分配系数KowlgP 3.6(20℃)。Henry常数6.5×10-4Pa·m3/mol(计算)。相对密度1.4(20℃)。水中溶解度 3.1mg/L(20℃);有机溶剂中溶解度(20℃,g/L):甲醇96,1,2-二氯乙烷、丙酮、二甲苯、乙酸 乙酯中大于250。稳定性:在pH为5和7条件下稳定存在,DT0为15d(pH9,50℃)。
背景
啶氧菌酯是目前使用效果最好的甲氧基丙烯酸酯类杀菌剂,由先正达公司研发成功,2006年先正达公司将啶氧菌酯的全球销售权卖给了美国杜邦公司,目前已经在中国进行销售,相关专利保护已经于2008年1月13日到期。本品主要用于防治麦类的叶面病害如叶枯病、叶锈病、颖枯病、褐斑病、白粉病等,与现有其他甲氧基丙烯酸酯类杀菌剂相比,对小麦叶祜病、网斑病和云纹病有更强的治疗效果。
商品名称
Acanto、Acapela。其他名称 Credo、Approach Prima、Acanto Duo Pack、Acanto Prima、Stinger、Acanto Dos。
应用
啶氧菌酯主要用于治疗谷物和水果类病害,如防治麦类的叶枯病、叶锈病、颍枯病、褐斑病、白粉病等,它的使用量为250g/hm2;而且在用于大麦和苹果的病害防治时,对使用嘧菌酯等药剂防效不高的病害有特效。在谷物上用啶氧菌酯处理后,能得到产量高、质量好、颗粒大而饱满的谷物。
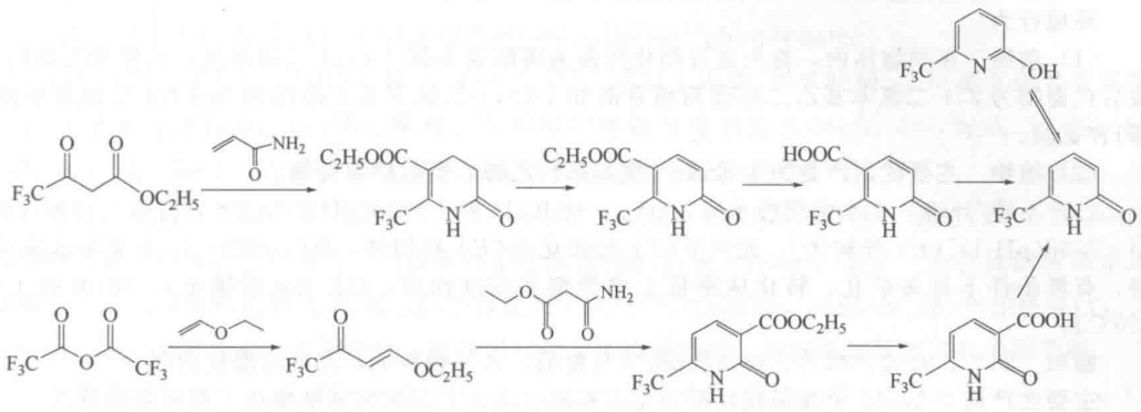
合成方法
啶氧菌酯的合成方法主要有如下两种:
中间体合成方法如下:
药物作用
啶氧菌酯属于内吸性广谱杀菌剂,有铲除、保护、渗透和内吸作用,药剂进入病菌细胞内,与线粒体上细胞色素b的Q0位点相结合,阻断细胞色素b和细胞色素c1之间的电子传递,从而抑制线粒体的呼吸作用,破坏病菌的能量合成。由于缺乏能量供应,病菌孢子萌发、菌丝生长和孢子的形成都受到抑制。防治对14-脱甲基化酶抑制剂、苯甲酰胺类、二羧酰胺类和苯并咪唑类产生抗性的菌株有效。啶氧菌酯一旦被叶片吸收,就会在木质部中移动,随水流在运输系统中流动;它也在叶片表面的气相中流动并随着从气相中吸收进人叶片后又在木质部中流动。无雨条件下用啶氧菌酯[250g(a.i.)/hm2]喷雾处理的作物和将同样喷雾处理后2h的作物暴露于降雨量为lOmm、长达1小时进行比较,结果表明两者对大麦叶枯病的防治效果是一致的。
生物活性
Picoxystrobin 是一种主要的 strobilurin 杀菌剂,已广泛用于控制植物病害。Picoxystrobin 可以通过阻止细胞色素 b 和 c1 的 Qo 中心的电子转移来抑制线粒体呼吸。
毒性
大鼠急性经口LD50>5000mg/kg,大鼠急性经皮LD50>2000mg/kg;大鼠吸入LC50 >2.12mg/L。本品对兔皮肤和兔眼睛无刺激性。对豚鼠皮肤无致敏性。NOAEL(狗,1y和90d) 4.3mg/(kg·d)。ADI值0.04mg/kg。其他非遗传毒性:对大鼠和兔子无潜在毒性,对大鼠和小 鼠无潜在致癌性。
安全信息
| 危险品标志 | N |
|---|---|
| 危险类别码 | 50/53 |
| 安全说明 | 60-61 |
| 危险品运输编号 | UN 3077 |
| WGK Germany | 2 |
| 海关编码 | 29333990 |
| 毒性 | MLD in rats (mg/kg): >5000 orally; >2000 dermally; MLC in rats (mg/l): 2.12 by inhalation (Godwin) |
MSDS信息
啶氧菌酯 价格(试剂级)
| 更新日期 | 产品编号 | 产品名称 | CAS号 | 包装 | 价格 |
|---|---|---|---|---|---|
| 2024/08/19 | HY-136355 | 啶氧菌酯 Picoxystrobin | 117428-22-5 | 100mg | 500元 |
| 2024/08/19 | HY-136355 | 啶氧菌酯 Picoxystrobin | 117428-22-5 | 10mM * 1mLin DMSO | 550元 |
啶氧菌酯 上下游产品信息
上游原料
2-(2-(((6-(三氟甲基)吡啶-2-基)氧基)甲基)苯基)乙酸甲酯:(E)-Methyl-2-(methoxymethylene)-2-methylbenzeneacetate3-异色酮2-氯甲基苯乙酸甲酯2-羟基-6-三氟甲基吡啶2-氯-6-三氟甲基吡啶(E)-2-[2-(溴甲基)苯基]-3-甲氧基丙烯酸甲酯(E)-3-甲氧基-2-(2-氯甲基苯基)-2-丙酸甲酯



VIP会员
粤公网安备44196802000105号