磺菌胺
用途作用机理适宜作物与安全性防治对象合成方法
| 中文名称 | 磺菌胺 |
|---|---|
| 中文同义词 | 磺菌胺 标准品;氟硫灭;磺菌胺/4-氯-N-(2-氯-4-硝基苯基)-3-(三氟甲基)苯磺酰胺;4-氯-N-(2-氯-4-硝基苯基)-3-(三氟甲基)苯磺酰胺;磺菌安;磺菌胺;2′,4-二氯-Α,Α,Α-三氟-4′-硝基间甲苯磺酰苯胺;FLUSULFAMIDE SOLUTION |
| 英文名称 | FLUSULFAMIDE |
| 英文同义词 | FLUSULFAMIDE;2’,4-dichloro-alpha,alpha,alpha-trifluoro-4’-nitro-m-toluenesulfonanilide;4-chloro-n-(2-chloro-4-nitrophenyl)-3-(trifluoromethyl)-benzenesulfonamid;4-chloro-N-(2-chloro-4-nitrophenyl)-3-(trifluoromethyl)benzene-1-sulfonamide;4-chloro-n-(2-chloro-4-nitrophenyl)-3-(trifluoromethyl)benzenesulfonamide;mtf651;2′,4-dichloro-α,α,α-trifluoro-4′-nitro-m-toluenesulfonanilide;4-chloro-N-(2-chloro-4-nitrophenyl)-3-(trifluoromethyl)benzeneslfonamide |
| CAS号 | 106917-52-6 |
| 分子式 | C13H7Cl2F3N2O4S |
| 分子量 | 415.17 |
| EINECS号 | |
| 相关类别 | 有机氯杀虫剂;杀虫剂;杀菌剂类;医药中间体 |
| Mol文件 | 106917-52-6.mol |
| 结构式 | ![]() |
磺菌胺 性质
| 熔点 | 168~173℃ |
|---|---|
| 沸点 | 498.2±55.0 °C(Predicted) |
| 密度 | 1.675±0.06 g/cm3(Predicted) |
| 储存条件 | 0-6°C |
| 酸度系数(pKa) | 4.74±0.10(Predicted) |
磺菌胺 用途与合成方法
用途
磺菌胺是一种主要用于土壤处理的杀菌剂。
作用机理
磺菌胺可抑制孢子萌发。对根肿病菌的生长期中有两个作用点,一是在病菌休眠孢子至发芽的过程中发挥作用;二是在土壤根须中的原生质和游动孢子至土壤中次生游动孢子使作物二次感染的过程中发挥作用。
适宜作物与安全性
萝卜、中国甘蓝、甘蓝、花椰菜、硬花甘蓝、甜菜、大麦、小麦、黑麦、番茄、茄子、黄瓜、菠菜、水稻、大豆等。多数作物对推荐剂量(即0.3%粉剂与1200kg±/hm²混)的磺菌胺有很好的耐药性。
防治对象
磺菌胺能有效地防治土传病害,包括腐霉病菌、螺壳状丝囊霉、疮痂病菌及环腐病菌等引起的病害。对根肿病如白菜根肿病具有显著的效果。
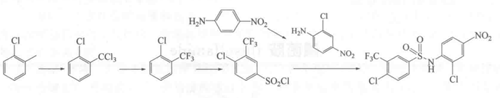
合成方法
以邻氯甲苯和对硝基苯胺为原料,通过如下反应即可制得磺菌胺。
安全信息
| 危险品标志 | Xi |
|---|---|
| 海关编码 | 29350090 |



VIP会员
粤公网安备44196802000105号