2'-甲氧基尿苷
理化性质用途来源合成路线 用途与合成方法 MSDS 2'-甲氧基尿苷价格(试剂级) 上下游产品信息 专题
| 中文名称 | 2'-甲氧基尿苷 |
|---|---|
| 中文同义词 | 2'-甲氧基尿苷;2'-O-甲基尿苷;2'-甲氧基尿苷, 98.0 %;2'-甲氧基尿苷,99%;1-((2R,3R,4R,5R)-4-羟基-5-(羟甲基)-3-甲氧基四氢呋喃-2-基)嘧啶-2,4(1H,3H)-二酮;2'-甲氧基尿苷(2'-OME-RU);2'-甲氧基尿苷(2'-OME-UR);2'-甲氧基尿苷 2级 |
| 英文名称 | 2'-O-Methyluridine |
| 英文同义词 | 2'-O-METHYLURIDINE (CHIRAL);2''-O-METHYLURIDINE CRYSTALLINE;1-[(2R,3R,4R,5R)-4-hydroxy-3-methoxy-5-methylol-tetrahydrofuran-2-yl]pyrimidine-2,4-quinone;1-[(2R,3R,4R,5R)-4-hydroxy-5-(hydroxymethyl)-3-methoxy-oxolan-2-yl]pyrimidine-2,4-dione;1-[(2R,3R,4R,5R)-4-hydroxy-5-(hydroxymethyl)-3-methoxyoxolan-2-yl]pyrimidine-2,4-dione;2'-O-METHYLURIDINE;1-[(2R,3R,4R,5R)-4-HYDROXY-5-(HYDROXYMETHYL)-3-METHOXYOXOLAN-2-YL]-3H-PYRIMIDINE-2,4-DIONE;2'-O-Methyluridine 98+% |
| CAS号 | 2140-76-3 |
| 分子式 | C10H14N2O6 |
| 分子量 | 258.23 |
| EINECS号 | 2017-001-1 |
| 相关类别 | 中间体;其他生化试剂;核苷,核苷酸,寡核苷酸;核苷;生化试剂;嘧啶核苷酸;医药、农药及染料中间体;科研原料;修饰核苷类;pyrimidine;Heterocycle-Pyrimidine series;Bases & Related Reagents;Carbohydrates & Derivatives;Heterocycles;Nucleotides;Pharmaceutical |
| Mol文件 | 2140-76-3.mol |
| 结构式 | ![]() |
2'-甲氧基尿苷 性质
| 熔点 | 154-156°C |
|---|---|
| 密度 | 1.53±0.1 g/cm3(Predicted) |
| 储存条件 | Inert atmosphere,2-8°C |
| 溶解度 | 可溶于DMSO(少许)、甲醇(少许) |
| 酸度系数(pKa) | 9.39±0.10(Predicted) |
| 形态 | 粉末 |
| 颜色 | 白色至类白色 |
| PH值 | ~9.3 |
| 最大波长(λmax) | 261nm(MeOH)(lit.) |
| CAS 数据库 | 2140-76-3(CAS DataBase Reference) |
2'-甲氧基尿苷 用途与合成方法
理化性质
2'-甲氧基尿苷在常温常压下呈白色或者灰白色固体粉末状,该化合物稳定较差,需要低温保存,而且最好是在惰性气体保护的环境下保存。其在具体的合成转化中,伯醇可以在转变成碘原子,而仲醇不受影响;此外,还可以在和羰基相邻的双键碳上面引入一个碘原子。
用途
2'-甲氧基尿苷是核苷酸的重要中间体,其在合成用于标记RNA的非干扰胞苷衍生物中有重要应用。
来源
2'-甲氧基尿苷在生物体内广泛存在,特别是在RNA的核心结构中。它在RNA分子的转运、稳定性和翻译调控中发挥着重要作用。此外,它也可以作为生物医学领域的研究工具,用于研究RNA的结构和功能。
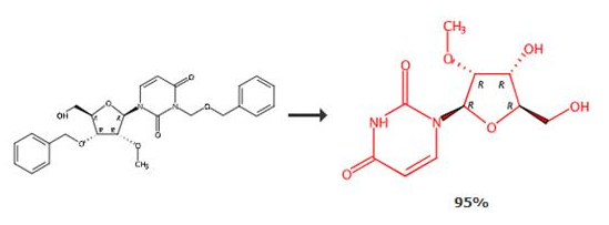
合成路线
在氮气氛围下,将负载量为 10% 的 钯碳固体添加到 BOM 保护的尿苷衍生物 (1 当量) 在异丙醇和水的混合溶液中(异丙醇和水的比例为10:1),再往反应体系中加入HCO2H (0.5%) ,使用双折叠气球将氢气气体引入反应混合物中,反应完成后,通过硅藻土过滤反应混合物除去钯碳固体,用异丙醇洗涤反应混合物。在真空下旋转蒸发所有挥发物,生成HCO2H-胺盐后,将粗混合物溶解在三氯甲烷中,用碳酸氢钠水溶液洗涤粗混合物;用无水硫酸钠干燥合并的有机层,真空蒸发合并的有机萃取物;通过硅胶色谱法纯化残余物即可得到目标产物2'-甲氧基尿苷。

安全信息
| 危险品标志 | T+ |
|---|---|
| 危险类别码 | 26/27/28 |
| 安全说明 | 24/25 |
| 海关编码 | 29389090 |
MSDS信息
2'-甲氧基尿苷 价格(试剂级)
| 更新日期 | 产品编号 | 产品名称 | CAS号 | 包装 | 价格 |
|---|---|---|---|---|---|
| 2024/08/19 | HY-W011824 | 2'-甲氧基尿苷 2′-O-Methyluridine | 1 g | 250元 | |
| 2024/08/19 | M2290 | 2'-O-甲基尿苷 2'-O-Methyluridine | 2140-76-3 | 1g | 250元 |
2'-甲氧基尿苷 上下游产品信息
上游原料
下游产品
3-甲基尿苷



VIP会员
粤公网安备44196802000105号