(1-萘)三氟硼酸钾
简介应用制备 用途与合成方法 MSDS (1-萘)三氟硼酸钾价格(试剂级) 上下游产品信息 专题
| 中文名称 | (1-萘)三氟硼酸钾 | 
|---|---|
| 中文同义词 | (1-萘)三氟硼酸钾;(1-萘基)三氟硼酸钾;萘-1-三氟硼酸钾;钾(1-萘)三氟硼酸 | 
| 英文名称 | POTASSIUM (1-NAPHTHALENE)TRIFLUOROBORATE | 
| 英文同义词 | Potassium Trifluoro(1-naphthyl)borate;POTASSIUM (1-NAPHTHALENE)TRIFLUOROBORATE;potassiuM trifluoro(naphthalen-1-yl)borate;potassium α-naphthyltrifluoroborate;Potassium 1-naphthyltrifluoroborate;Borate(1-), trifluoro-1-naphthalenyl-, potassium (1:1), (T-4)-;POTASSIUM (1-NAPHTHALENE)TRIFLUOROBORATE ISO 9001:2015 REACH;trifluoro(naphthalen-1-yl)boranuide | 
| CAS号 | 166328-07-0 | 
| 分子式 | C10H7BF3K | 
| 分子量 | 234.07 | 
| EINECS号 | |
| 相关类别 | Trifluoroborates;blocks | 
| Mol文件 | 166328-07-0.mol | 
| 结构式 | ![]()  | 
(1-萘)三氟硼酸钾 性质
| 熔点 | 89-91℃ | 
|---|---|
| 储存条件 | Sealed in dry,Room Temperature | 
| 形态 | 固体 | 
| 颜色 | 白色 | 
(1-萘)三氟硼酸钾 用途与合成方法
简介
(1-萘)三氟硼酸钾是一种芳基三氟硼酸钾衍生物。芳基三氟硼酸钾不仅稳定性高,结晶性好而且反应性能与相应的芳基硼酸最接近,是最有工业生产应用前景的芳基硼酸衍生物。
应用
芳基硼酸作为安全、高效的芳基化试剂已经广泛应用于医药、农药、液晶和OLED光电材料等相关精细化学品的科研和开发。但是由于芳基硼酸易于脱水形成酸酐,以及对酸、碱和氧化剂不够稳定,特别是在空气易于被氧化或脱硼质解等,芳基硼酸实际使用中普遍存在储存时间短和计量困难的问题,甚至一些杂环芳基硼酸室温下也逐渐分解,需要在-30℃以下的低温储存,使其失去在工业生产中使用的价值。为了解决芳基硼酸的稳定性带来的使用问题,需要将其转化为芳基硼酸酯或盐的衍生物。
制备

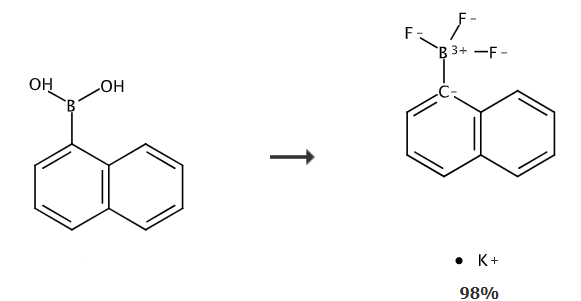
1-萘硼酸 (0.41摩尔),二氟氢化钾 (0.82摩尔),经500rpm高速搅拌10分钟,得到混合均匀物料,经双螺杆挤出机进料口连续加入,挤出时间设定为5分钟,挤出物料直接接收于盛有与固体物料等重量水的接收器中,搅拌分散,得浆状物,过滤,滤液返回接收器,滤饼水洗后热风干燥得产品(1-萘)三氟硼酸钾。
安全信息
| 海关编码 | 2914390090 | 
|---|
MSDS信息
(1-萘)三氟硼酸钾 价格(试剂级)
| 更新日期 | 产品编号 | 产品名称 | CAS号 | 包装 | 价格 | 
|---|---|---|---|---|---|
| 2024/08/19 | XW0216632807004 | (1-萘)三氟硼酸钾 Potassium trifluoro(naphthalen-1-yl)borate  | 25g | 953元 | |
| 2024/08/19 | XW0216632807003 | (1-萘)三氟硼酸钾 Potassium trifluoro(naphthalen-1-yl)borate  | 5g | 194元 | 
(1-萘)三氟硼酸钾 上下游产品信息
下游产品



   VIP会员
粤公网安备44196802000105号