4-氯二苯甲酮
理化性质应用合成方法 用途与合成方法 MSDS 4-氯二苯甲酮价格(试剂级) 上下游产品信息 价格 专题
| 中文名称 | 4-氯二苯甲酮 |
|---|---|
| 中文同义词 | 4-氯苯并苯基酮;对氯二苯甲酮;西替利嗪杂质16;西替利嗪4-氯苯甲砜(USP);西替利嗪氯苯甲酮杂质;4-氯二苯酮;4-氯二苯甲酮,99%;IHT-PI CBP 4-氯二苯甲酮 |
| 英文名称 | 4-Chlorobenzophenone |
| 英文同义词 | para-chlorobenzophenone;p-CBP;p-Chlorodiphenylketone;p-Chlorophenyl phenyl ketone;2-BROMO-1-(4-CHLOROPHENYL)ETHAN-1-ONE;4-CHLORO-2'-BROMINE ACETOPHENONE;4-CHLOROPHENACYL BROMIDE;AKOS 90589 |
| CAS号 | 134-85-0 |
| 分子式 | C13H9ClO |
| 分子量 | 216.66 |
| EINECS号 | 205-160-7 |
| 相关类别 | 有机原料;化工原料;中间体;化工中间体;催化剂;光敏引发剂;环保催化剂;光引发剂;有机中间体;酮;有机化工;芳烃;Aromatic Benzophenones & Derivatives (substituted);Functional Materials;Photopolymerization Initiators;C13 to C14;Carbonyl Compounds;Ketones;organic chemical;有机砌块;医药中间体;通用试剂;西替利嗪;有机化工原料;医药原料;化工中间体工业原料;染料中间体;化工材料;光引发剂tpo系列;系列1;无机物;日用化学品;杂质对照品;134-85-0;化工;bc0001 |
| Mol文件 | 134-85-0.mol |
| 结构式 | ![]() |
4-氯二苯甲酮 性质
| 熔点 | 74-76 °C (lit.) |
|---|---|
| 沸点 | 195-196 °C/17 mmHg (lit.) |
| 密度 | 1.1459 (rough estimate) |
| 蒸气压 | 0.015Pa at 25℃ |
| 折射率 | 1.5260 (estimate) |
| 闪点 | 143°C |
| 储存条件 | 2-8°C |
| 溶解度 | 可溶于氯仿(少许)、乙酸乙酯(少许)、甲醇(少许) |
| 形态 | 粉末 |
| 颜色 | 白色至类白色 |
| 水溶解性 | 20.706mg/L at 29℃ |
| BRN | 512043 |
| InChIKey | UGVRJVHOJNYEHR-UHFFFAOYSA-N |
| LogP | 3.748 at 25℃ |
| CAS 数据库 | 134-85-0(CAS DataBase Reference) |
| NIST化学物质信息 | Methanone, (4-chlorophenyl)phenyl-(134-85-0) |
| EPA化学物质信息 | Methanone, (4-chlorophenyl)phenyl- (134-85-0) |
4-氯二苯甲酮 用途与合成方法
理化性质
4-氯二苯甲酮为无色到淡黄色固体粉末,闪点143℃,沸点332℃,溶于乙醚、热乙醇。
应用
4-氯二苯甲酮为米白色或灰白色至微红白色晶体,是合成降血脂药物非诺贝特等医药和农药类产品以及制备耐热性聚合物等的原料,用途非常广泛。此外,4-氯二苯甲酮作为重要的化工中间体,广泛应用于医药、农药、染料以及其它有机合成中。
合成方法
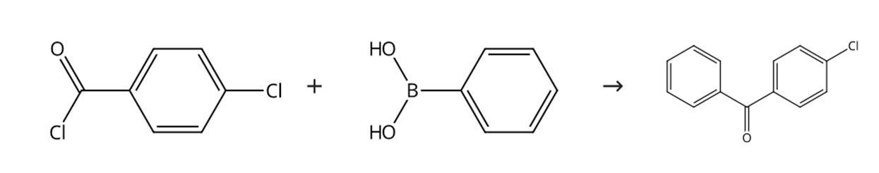
将4-氯苯甲酰氯(1.5mmol)、苯基硼酸(1.25mmol)、碳酸钠(133mg,1.25mmol。用氩气冲洗管子。用橡胶隔膜密封管子。向试管中加入甲苯和水(各3 mL)。将反应容器转移到保持在50°C的油浴中。将混合物搅拌1小时。将反应混合物转移到分液漏斗中。用乙醚(20mL)稀释混合物。分离水相。用3M HCl(两次)、5%KOH(四次)和盐水(两次。用无水硫酸镁干燥有机相。用色谱级硅胶在真空下蒸发有机相,以预吸附粗产物。用己烷-乙酸乙酯(30∶1、10∶1或5∶1v:v)在硅胶上进行柱色谱纯化产物。蒸发产品得到标题化合物4-氯二苯甲酮。

图 4-氯二苯甲酮的合成路线
化学性质
类白色结晶粉末
用途
UV固化型涂料和油墨
用途
用作医药、农药中间体
生产方法
由苯甲酰氯与氯苯缩合而得:在干燥的反应锅内,加入氯苯和无水三氯化铝,搅拌升温至50℃,滴加苯甲酰氯。加毕,在100-110℃下反应5.5h,慢慢加入微酸性的冰水中,搅匀后静置,分去上层清液,甩滤,水洗至中性,甩干,得4-氯双苯酮。
安全信息
| 危险品标志 | |
|---|---|
| 危险类别码 | |
| 安全说明 | |
| WGK Germany | 2 |
| RTECS号 | AM5978800 |
| F | 19 |
| TSCA | Yes |
| 海关编码 | 29147000 |
| 毒害物质数据 | 134-85-0(Hazardous Substances Data) |
MSDS信息
| 提供商 | 语言 |
|---|---|
4-Chlorobenzophenone | 英文 |
ACROS | 英文 |
SigmaAldrich | 英文 |
ALFA | 中文 |
ALFA | 英文 |
4-氯二苯甲酮 价格(试剂级)
| 更新日期 | 产品编号 | 产品名称 | CAS号 | 包装 | 价格 |
|---|---|---|---|---|---|
| 2024/08/19 | A17458 | 4-氯二苯甲酮, 99% 4-Chlorobenzophenone, 99% | 134-85-0 | 100g | 279元 |
| 2024/08/19 | A17458 | 4-氯二苯甲酮, 99% 4-Chlorobenzophenone, 99% | 134-85-0 | 500g | 850元 |
4-氯二苯甲酮 上下游产品信息
上游原料
三氯化铝苯甲酰氯对氯苯甲酰氯(S)4-氯苯基苯基甲胺1-(4-氯苯基)-1-苯基甲胺
下游产品
4-氰基苯甲酮1-(4-氯二苯甲基)哌嗪



VIP会员
粤公网安备44196802000105号