新型杀螨剂
作用机理概述毒性 专题
| 中文名称 | 新型杀螨剂 |
|---|---|
| 中文同义词 | 新型杀螨剂;腈吡螨酯溶液,1000PPM;腈吡螨酯溶液,100PPM;腈吡螨酯;唑螨氰;CYENOPYRAFEN 标准品;乙腈中腈吡螨酯溶液,100ΜG/ML;乙腈中腈吡螨酯 |
| 英文名称 | Cyenopyrafen |
| 英文同义词 | (1E)-2-cyano-2-[4-(1,1-diMethylethyl)phenyl]-1-(1,3,4-triMethyl-1H-pyrazol-5-yl)ethenyl 2,2-diMethylpropanoate;Cyenopyrafen;Cyenopyrafen Solution, 100ppm;Cyenopyrafen Solution, 1000ppm;(E)-2-(4-tert-butylphenyl)-2-cyano-1-(1,3,4-trimethylpyrazol-5-yl)vinyl 2,2-dimethylpropionate;Propanoic acid, 2,2-dimethyl-, (1E)-2-cyano-2-[4-(1,1-dimethylethyl)phenyl]-1-(1,3,4-trimethyl-1H-pyrazol-5-yl)ethenyl ester;Cyenopyrafen Solution in Acetonitrile, 100μg/mL;Azoxystrobin Impurity 7 |
| CAS号 | 560121-52-0 |
| 分子式 | C24H31N3O2 |
| 分子量 | 393.52 |
| EINECS号 | |
| 相关类别 | 农用原药-原药 |
| Mol文件 | 560121-52-0.mol |
| 结构式 | ![]() |
新型杀螨剂 性质
| 沸点 | 489.1±45.0 °C(Predicted) |
|---|---|
| 密度 | 1.03±0.1 g/cm3(Predicted) |
| 酸度系数(pKa) | 2.61±0.10(Predicted) |
新型杀螨剂 用途与合成方法
作用机理
作用机理主要与去酯化烯醇的活化代谢有关,通过破坏呼吸电子传递链中的复合物II(琥珀酸脱氢酶)来抑制线粒体的功能,药剂具有良好的选择性。
概述
腈吡螨酯是由日本日产化学工业株式会社开发的新型丙烯腈类杀螨剂,英文通用名称为cyenopyrafen,国内化合物专利CN1227229C于本年四月份届满,2008年该杀虫剂在日本和韩国初次登记,2009年上市。最近日产化学在国内申请的95%腈吡螨酯原药和30% 腈吡螨酯悬浮剂将有望获得登记。该杀虫杀螨剂与现有的主流杀虫剂无交互抗性,可用于果树、柑橘、茶树、蔬菜等作物防治各类害螨。
毒性
大鼠急性经口LD50>5000mg/kg。大鼠急性经皮LD50>5000mg/kg。大鼠吸入LC50(4h)>5.01mg/L。大鼠NOEL 5.1mg/(kg·d)。ADI 0.05mg/(kg·d)。
化学性质
白色固体,纯度>96%,熔点106.7~108.2℃。蒸气压5.2×10-4mPa(25℃)。KowlgP=5.6。Henry常数3.8×10-5Pa ·m3/mol(计算值)。相对密度1.11(20℃)。水中溶解度(20℃)0.30mg/L。54℃下14d内稳定。水溶液DT500.9d(pH 9.25℃)。
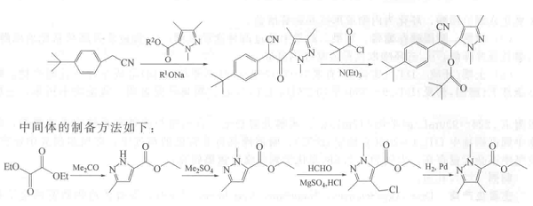
生产方法
4-叔丁基苯乙腈和1,3,4-三甲基吡唑-5-甲酸酯在醇钠的作用下发生缩合反应,然后在三乙胺的作用下再与新戊酰氯反应生成产品。

安全信息
| 毒性 | Its oral LD50 in rats is 2000 mg/kg. |
|---|



VIP会员
粤公网安备44196802000105号