4,5-二氟邻苯二甲酸酐
简介制备 用途与合成方法 MSDS 4,5-二氟邻苯二甲酸酐价格(试剂级) 上下游产品信息 专题
| 中文名称 | 4,5-二氟邻苯二甲酸酐 |
|---|---|
| 中文同义词 | 4,5-二氟邻苯二甲酸酐;4,5-二氟苯二甲酸酐;4,5-二氟邻苯二甲 酐;4,5-二氟邻苯二甲酸酐(CAS号:18959-30-3);5,6-二氟邻苯二甲酸酐;5,6-二氟异苯并呋喃-1,3-二酮 |
| 英文名称 | 4,5-DIFLUOROPHTHALIC ANHYDRIDE |
| 英文同义词 | 4,5-DIFLUOROPHTHALIC ANHYDRIDE;1,3-Isobenzofurandione, 5,6-difluoro-;5,6-Difluoro-2-benzofuran-1,3-dione;5,6-difluoro-1,3-Isobenzofurandione;5,6-difluoro-1,3-dihydro-2-benzofuran-1,3-dione;5,6-Difluoroisobenzofuran-1,3-dione;4,5-DIFLUOROPHTHALIC ANHYDRIDE FOR SYNTH;5,6-Difluoro-2-benzofuran-1,3-dione, 5,6-Difluoroisobenzofuran-1,3-dione |
| CAS号 | 18959-30-3 |
| 分子式 | C8H2F2O3 |
| 分子量 | 184.1 |
| EINECS号 | 808-095-8 |
| 相关类别 | 吡嗪;合成材料中间体;芳烃;有机化学;合成中间体;Phthalic Acids, Esters and Derivatives |
| Mol文件 | 18959-30-3.mol |
| 结构式 | ![]() |
4,5-二氟邻苯二甲酸酐 性质
| 熔点 | 99-100℃ |
|---|---|
| 沸点 | 321.2±32.0 °C(Predicted) |
| 密度 | 1.658 |
| 储存条件 | Store below +30°C. |
| 形态 | 固体 |
| 颜色 | 灰色 |
| InChIKey | UATBWQQFLABWKR-UHFFFAOYSA-N |
| CAS 数据库 | 18959-30-3(CAS DataBase Reference) |
4,5-二氟邻苯二甲酸酐 用途与合成方法
简介
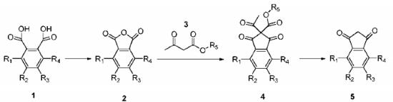
4,5-二氟邻苯二甲酸酐是一种卤代的1,3-茚二酮类合物。4,5-二氟邻苯二甲酸酐由于其1,3位的羰基和2位的亚甲基活性都很高,非常容易进行衍生反应,且卤素取代芳香氢后吸电子效应明显,使得此类材料成为A-D-A中非富勒烯的电子受体单元。
制备

步骤1:将100g4,5-二氟邻苯二甲酸和150ml乙酸酐加入至三口反应瓶中,然后升温至120℃回流,反应12h后停止加热,冷却至室温发现有白色晶体析出。将上述晶体进行过滤,然后用石油醚进行洗涤,得到的灰色固体干燥后为89g(收率98%)1HNMR(CD2Cl2,400MHz):δ(ppm)7.73(m,2H),3.23(s,2H)。
步骤2:称取75g上述酸酐将其分散在500ml乙酸酐和250ml三乙胺的混合液中,室温搅拌5min后将40g乙酰乙酸乙酯加入至反应瓶,室温搅拌过夜。
步骤3:往反应体系中滴入810ml2N的盐酸,可以看到反应体系中有沉淀产生。通过反应是否释放二氧化碳判断反应是否达到终点,到达终点后停止滴加。然后逐渐升温至100℃并保持2h。反应结束后进行过滤、水洗和石油醚洗涤,真空干燥后得到产品42g(产率85%)。
安全信息
| 危险品标志 | Xi |
|---|---|
| Hazard Note | Irritant |
| 海关编码 | 29329990 |
MSDS信息
4,5-二氟邻苯二甲酸酐 价格(试剂级)
| 更新日期 | 产品编号 | 产品名称 | CAS号 | 包装 | 价格 |
|---|---|---|---|---|---|
| 2024/08/19 | XW021895930305 | 4,5-二氟邻苯二甲酸酐 | 18959-30-3 | 25G | 1918元 |
| 2024/08/19 | XW021895930304 | 4,5-二氟邻苯二甲酸酐 | 18959-30-3 | 10G | 768元 |
4,5-二氟邻苯二甲酸酐 上下游产品信息
下游产品
2-溴-4,5-二氟苯甲酸甲酯2,3,6,7-TETRAFLUOROANTHRACENE-9,10-DIONE



VIP会员
粤公网安备44196802000105号