4-甲硫基苯甲酸
应用制备 用途与合成方法 MSDS 4-甲硫基苯甲酸价格(试剂级) 上下游产品信息 专题
| 中文名称 | 4-甲硫基苯甲酸 |
|---|---|
| 中文同义词 | 对甲硫基苯甲酸;4-甲基硫代苯甲酸;4-(甲基硫代)苯甲酸,97%;4-(甲基巯基)苯甲酸;4-甲硫基苯甲酸;13C6]-4-(甲硫基)苯甲酸 |
| 英文名称 | 4-(METHYLTHIO)BENZOIC ACID |
| 英文同义词 | RARECHEM AL BO 1264;P-(METHYLTHIO)BENZOIC ACID;4-(METHYLMERCAPTO)BENZOIC ACID;4-(METHYLTHIO)BENZOIC ACID;p-Methylmercapto Benzoic Acid;MTBA;p-Carboxyphenyl methyl sulfide;4-(METHYTHIO)-BENZOIC ACID |
| CAS号 | 13205-48-6 |
| 分子式 | C8H8O2S |
| 分子量 | 168.21 |
| EINECS号 | 236-171-5 |
| 相关类别 | 羧酸;芳烃;医药中间体;羧酸类衍生物;Aromatic Carboxylic Acids, Amides, Anilides, Anhydrides & Salts;Organic acids |
| Mol文件 | 13205-48-6.mol |
| 结构式 | ![]() |
4-甲硫基苯甲酸 性质
| 熔点 | 192-196 °C(lit.) |
|---|---|
| 沸点 | 319.0±25.0 °C(Predicted) |
| 密度 | 1.28±0.1 g/cm3(Predicted) |
| 储存条件 | Sealed in dry,Room Temperature |
| 酸度系数(pKa) | 4.28±0.10(Predicted) |
| 形态 | 粉末晶体 |
| 颜色 | 白色至浅黄色至浅橙色 |
| BRN | 2082809 |
| LogP | 2.740 |
| CAS 数据库 | 13205-48-6(CAS DataBase Reference) |
4-甲硫基苯甲酸 用途与合成方法
应用
苯甲酸类化合物4-甲硫基苯甲酸广泛用于食品、医药、染料等化工领域,其也是一类重要的有机合成中间体。
制备
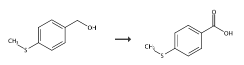
4-甲硫基苯甲酸的制备:

在10mL圆底烧瓶中,依次加入4-甲硫基苯甲醇0.77g,二乙二醇二甲醚2g,所得混合液在超声反应装置中,40KHz/30W/70℃超声辐射敞开反应30分钟。减压除去二乙二醇二甲醚,重结晶得4-甲硫基苯甲酸0.79g,产率95%。直接以4-甲硫基苯甲醇原料为起始物料,以廉价绿色、安全的空气为氧化剂,廉价的二乙二醇二甲醚为促进剂,无溶剂条件下合成所述的苯甲酸类化合物的环境友好型方法。
安全信息
| 危险品标志 | Xn |
|---|---|
| 危险类别码 | 36/37/38-22 |
| 安全说明 | 22-24/25-37/39-26 |
| WGK Germany | 3 |
| 海关编码 | 29309090 |
MSDS信息
| 提供商 | 语言 |
|---|---|
SigmaAldrich | 英文 |
ACROS | 英文 |
ALFA | 中文 |
ALFA | 英文 |
4-甲硫基苯甲酸 价格(试剂级)
| 更新日期 | 产品编号 | 产品名称 | CAS号 | 包装 | 价格 |
|---|---|---|---|---|---|
| 2024/08/19 | B25706 | 4-(甲基硫代)苯甲酸, 97% 4-(Methylthio)benzoic acid, 97% | 13205-48-6 | 1g | 610元 |
| 2024/08/19 | B25706 | 4-(甲基硫代)苯甲酸, 97% 4-(Methylthio)benzoic acid, 97% | 13205-48-6 | 5g | 2029元 |
4-甲硫基苯甲酸 上下游产品信息
上游原料
氢氧化钠乙醚石油醚硫酸钠正丁基锂碳酸氢钠硫酸二甲酯4-巯基苯甲酸4-溴茴香硫醚



VIP会员
粤公网安备44196802000105号