马来酸氯苯那敏
简介适应症药理作用药物相互作用制备 用途与合成方法 MSDS 马来酸氯苯那敏价格(试剂级) 上下游产品信息 专题
| 中文名称 | 马来酸氯苯那敏 |
|---|---|
| 中文同义词 | 马来酸氯曲米通;氯苯那敏-D4马来酸盐;马来酸氯苯那敏缓释片(药物释放校正片);扑尔敏/马来酸氯苯那敏;氯屈米通;马来酸氯苯吡胺;马来酸氯苯那敏,99%;马来酸氯苯那敏(扑尔敏);扑尔敏 |
| 英文名称 | Chlorphenamine maleate |
| 英文同义词 | 1-(p-Chlorophenyl)-1-(2-pyridyl)-3-dimethy-laminopropanebimaleate;1-Parachlorophenyl-1-(2-pyridyl)-3-dimethylaminopropane maleate;2-Pyridinepropanamine, γ-(4-chlorophenyl)-N,N-dimethyl-, (2Z)-2-butenedioate (1:1);2-Pyridinepropanamine, γ-(4-chlorophenyl)-N,N-dimethyl-, (Z)-2-butenedioate (1:1);Chlorophenamine;Chlorprophenpyridamine maleate;Cloropiril;Histadur |
| CAS号 | 113-92-8 |
| 分子式 | C20H23ClN2O4 |
| 分子量 | 390.86 |
| EINECS号 | 204-037-5 |
| 相关类别 | 吡啶;原料药;抗生素;小分子抑制剂;抗组胺药;其他科研原料药;神经信号;医药中间体;医药标准品;医药原料;化工原料;医药兽药;抗生素类;抗组胺;化合物;生化试剂;其他原料药;原料;消化呼吸;对照品;原料中间体-原料药;中间体;化工原料;医用原料;原料;化工中间体;其他原料;药物杂质及中间体;医药、农药及染料中间体;化工材料;印度进口原料;中药对照品;医药类-原料药;原药中间体;医药化工原料-医药原料药;抗病毒类中间体;Intermediates & Fine Chemicals;Pharmaceuticals;Antagonists;Histaminergics;Neurotransmitters;TELDRIN;API;化工;标准品;其他类;化学试剂;工业化 |
| Mol文件 | 113-92-8.mol |
| 结构式 | ![]() |
马来酸氯苯那敏 性质
| 熔点 | 130-135 °C (lit.) |
|---|---|
| 比旋光度 | -1~+1°(D/20℃)(c=5,DMF) |
| 密度 | 1.1984 (rough estimate) |
| 折射率 | 1.6800 (estimate) |
| 闪点 | 9℃ |
| 储存条件 | 2-8°C |
| 溶解度 | 易溶于水,溶于乙醇(96%) |
| 形态 | 固体 |
| 颜色 | 白色到近乎白色 |
| 气味 (Odor) | 无味 |
| PH值 | 4.0~5.5 (10g/l, 25℃) |
| 水溶解性 | 1-5 g/100 mL at 21 ºC |
| Merck | 14,2180 |
| BCS Class | 3/1 |
| InChIKey | DBAKFASWICGISY-BTJKTKAUSA-N |
| LogP | 3.389 (est) |
| EPA化学物质信息 | Chlorpheniramine maleate (113-92-8) |
马来酸氯苯那敏 用途与合成方法
简介
氯苯那敏,用于过敏性鼻炎、感冒和鼻窦炎及过敏性皮肤疾患如荨麻疹、过敏性药疹或湿疹、血管神经性水肿、虫咬所致皮肤瘙痒。
适应症
适应症用于感冒及皮肤粘膜过敏性疾病,功能主治荨麻疹、湿疹、皮炎、药疹、皮肤瘙痒症、神经性皮炎、虫咬症、日光性皮炎、也可用于过敏性皮炎、血管舒缩性鼻炎、药物及食物过敏等。除有较强的竞争性阻断变态反应靶细胞上组胺H1受体的作用,通过对H1受体 的拮抗起到抗过敏作用外,还具有抗M胆碱受体作用,故服药后可出现口干、便秘、痰液变 稠、鼻黏膜干燥等症状。
药理作用
氯苯那敏为H1受体拮抗药,其化学结构属烃胺类。主要能竞争性阻断变态反应靶细胞上组胺H1受体,使组胺不能与H1受体结合,从而抑制其引起的过敏反应。但氯苯那敏不影响组胺的代谢,也不阻止体内组胺的释放。氯苯那敏还具有抑制中枢和抗胆碱作用,故服药后有困倦感、口干、便秘、痰液变稠及鼻黏膜干燥。经过临床长时间的实践认为,氯苯那敏的抗组胺作用较强,用量小,副作用小。氯苯那敏抗组胺作用较苯海拉明、异丙嗪强,而中枢抑制作用较弱,抗胆碱作用亦较弱。因嗜睡等不良反应轻微,故适用于小儿及白天需要工作的患者服用。氯苯那敏尚有减少气管分泌及胃酸分泌的作用。在新一代抗组胺药问世之前,是临床最常用的抗组胺药 。
药物相互作用
①与酒精及其他中枢神经抑制药,如巴比妥酸盐、催眠药、阿片类镇痛药、抗焦虑镇静药、抗癫痫药合用,可增加抗组胺药的中枢神经抑制作用,但新型抗组胺药此相互作用较弱。②与其他有抗胆碱作用的药物,如阿托品、三环类抗抑郁药、单胺氧化酶抑制剂合用,可加强本类药物的抗胆碱作用。③部分经肝代谢的抗组胺药与肝药酶抑制药合用时,可致不良反应增加。④一些抗组胺药可能会掩盖某些具有耳毒性的药物,如氨基苷类抗生素的毒性症状。⑤抗组胺药可抑制过敏原性物质的皮试反应,因此在皮试前若干天应停止使用一切抗组胺药物,以免影响皮试结果。⑥本品与苯妥英合用可能抑制其肝脏代谢,使其毒性增加,应注意监测苯妥英浓度。⑦可增强金刚烷胺、抗胆碱药、氟哌啶醇、吩噻嗪类及拟交感神经药等作用。⑧同时饮酒或服用中枢神经抑制药,可使本品药效增强。
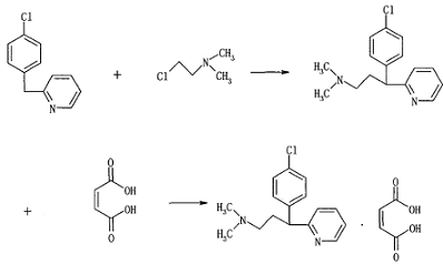
制备
一种马来酸氯苯那敏的合成方法,包括以下步骤:
1)对氯苄基吡啶的制备

在高压釜中加入对氯氰苄和催化剂二茂钴,抽真空,升温至150℃,通入经干燥处理的乙炔气体,温度上升,温度维持在150~170℃通 入乙炔气体,通气结束后,在150~170℃高压反应4h,反应结束后,蒸馏,得对氯苄基吡啶。
2)马来酸氯苯那敏的制备

在四氢呋喃溶剂中,加入对氯苄基吡啶,氨基钠,温度在20~25℃反应1小时,然后滴加N,N-二甲基氯乙烷的甲苯溶液,温度控制在30~40℃,滴加完毕后,在40~45℃反应2小时,反应结束后,降至常温,然后加水洗有机相至中性,回收溶剂,得氯苯那敏浓缩液,浓缩液经负压蒸馏,得氯苯那敏。在无水乙醇中加入马来酸,搅拌溶解后,加入氯苯那敏,加完后,搅拌30分钟,降温至0~-2℃保温2小时,抽滤得马来酸氯苯那敏粗品.用1.5倍的无水乙醇精制得马来 酸氯苯那敏精品。
化学性质
白色结晶性粉末。熔点131-135℃。易溶于水、乙醇、氯仿,微溶于乙醚、无臭、味苦。
用途
该品抗组织胺作用超过苯海拉明和异丙嗪,用量小,副作用轻。用于荨麻疹、血管舒张性鼻炎、感冒、哮喘、鼻炎、接触性皮炎,也用于药物和食物等引起的过敏症、虫咬及晕动等。
用途
抗组织胺药。与氯屈米通相类似,溴苯吡胺也中抗组织胺药。溴苯吡胺的生产方法也与氯屈米通相类似,只不过将起始原料用溴苯化合物代替。
用途
用作抗过敏药
生产方法
由2-对氯苄基吡啶经两步缩合而得。在干燥的反应锅内,加入氨钠、无水甲苯,加热至回流,将2-对氯苄基吡啶和溴代乙醛缩二乙醇同时滴入。加毕,回流反应8h。冷却静置,取甲苯液,固体物用少量水溶解后以甲苯提取。将提取液与甲苯液合并,水洗至中性,回收甲苯,得3-对氯苯-3-(2-吡啶基)-丙醛缩二乙醇。将其与DMF混匀加入反应锅,搅拌下加入甲酸与水的混合液。加热至110-120℃反应2h,150-160℃反应3h。冷却,减压回收DMF,加热水稀释,用碱液调至pH14。然后用甲苯提取,用水洗提取液至中性,回收甲苯后减压蒸馏,收集150-190℃馏分,得氯屈米通。
生产方法
由氯屈米通与顺丁烯二酸成盐而得。
安全信息
| 危险品标志 | T,F |
|---|---|
| 危险类别码 | 25-39/23/24/25-23/24/25-11 |
| 安全说明 | 36/37/39-45-36/37-16 |
| 危险品运输编号 | UN 2811 6.1/PG 3 |
| WGK Germany | 3 |
| RTECS号 | US6504000 |
| TSCA | Yes |
| 危险等级 | 6.1(b) |
| 包装类别 | III |
| 海关编码 | 29333990 |
| 毒性 | LD50 orally in mice: 162 mg/kg (Smith) |
MSDS信息
| 提供商 | 语言 |
|---|---|
Chlorphenamine hydrogen maleate | 英文 |
SigmaAldrich | 英文 |
马来酸氯苯那敏 化学药品说明书
马来酸氯苯那敏|药典2005版马来酸氯苯那敏滴丸|药典2005版
马来酸氯苯那敏 价格(试剂级)
| 更新日期 | 产品编号 | 产品名称 | CAS号 | 包装 | 价格 |
|---|---|---|---|---|---|
| 2024/08/19 | B25238 | 马来酸氯苯那敏,99% Chlorpheniramine maleate, 99% | 113-92-8 | 5g | 458元 |
| 2024/08/19 | B25238 | 马来酸氯苯那敏,99% Chlorpheniramine maleate, 99% | 113-92-8 | 25g | 995元 |
马来酸氯苯那敏 上下游产品信息
上游原料
2-甲基吡啶马来酸溴代乙醛缩二乙醇无水甲苯2-对氯苄基吡啶



VIP会员
粤公网安备44196802000105号