2-甲酰胺-5-(2-巯基-1,3-噻唑-4-基)-噻吩
用途应用 用途与合成方法 MSDS 2-甲酰胺-5-(2-巯基-1,3-噻唑-4-基)-噻吩价格(试剂级) 上下游产品信息 专题
| 中文名称 | 2-甲酰胺-5-(2-巯基-1,3-噻唑-4-基)-噻吩 |
|---|---|
| 中文同义词 | 盐酸阿罗洛尔中间体;2-甲酰胺-5-(2-巯基-1,3-噻唑-4-基)-噻吩 阿罗洛尔中间体;5-(2,3-二氢-2-巯基-4-噻唑基)噻吩甲酰胺;2-甲酰胺-5-(2-巯基-1,3-噻唑-4-基)-噻吩;2-甲酰胺-5-(2-巯基-1,3-噻唑-4-基)-噻吩(阿罗洛尔杂质);2-甲酰胺-5-(2-巯基-1;3-噻唑-4-基)-噻吩;2-甲酰胺-5-(2-巯基-1,3-噻唑 |
| 英文名称 | 5-(2-sulfanylidene-3H-1,3-thiazol-4-yl)thiophene-2-carboxamide |
| 英文同义词 | 5-(2,3-Dihydro-2-thioxo-4-thiazolyl)-2-thiophenecarboxamide;NSC 317939;5-(2-MERCAPTOTHIAZOL-4-YL)THIOPHENE-2-CARBOXAMIDE;5-(2-Mercapto-4-thiazolyl)-2-thiophenecarboxamide;2-carbamoyl-5-(2-mercapto-1,3-thiazol-4-yl)-thiophene;5-(2-mercapto-1,3-thiazol-4-yl)-2-thiophene carboxamide;Arotinolol hydrochloride interMediate product;5-(2-Mercapto-thiazol-4-yl)-thiophene-2-carboxylic acid aMide |
| CAS号 | 52560-89-1 |
| 分子式 | C8H6N2OS3 |
| 分子量 | 242.34 |
| EINECS号 | 609-857-0 |
| 相关类别 | 医药中间体;原料药 |
| Mol文件 | 52560-89-1.mol |
| 结构式 | ![]() |
2-甲酰胺-5-(2-巯基-1,3-噻唑-4-基)-噻吩 性质
| 熔点 | >236oC (dec.) |
|---|---|
| 沸点 | 471.1±55.0 °C(Predicted) |
| 密度 | 1.63 |
| 储存条件 | 2-8°C |
| 溶解度 | 可溶于DMSO(少许)、甲醇(少许) |
| 酸度系数(pKa) | 7.23±0.40(Predicted) |
| 形态 | 固体 |
| 颜色 | 淡黄色低 |
2-甲酰胺-5-(2-巯基-1,3-噻唑-4-基)-噻吩 用途与合成方法
用途
2-甲酰胺-5-(2-巯基-1,3-噻唑-4-基)-噻吩即5-(2-巯基-4-噻唑基)噻吩-2-甲酰胺,是盐酸阿罗洛尔的中间体。盐酸阿罗洛尔是一种选择性β1-肾上腺素受体拮抗剂,临床上主要用于治疗轻至中度原发性高血压、心绞痛、快速型心率失常和原发性震颤等。在选择抑制β-肾上腺素受体的同时,对α1-肾上腺素受体有轻微阻滞作用,进而降低交感神经的张力,使得降压效果更理想。盐酸阿罗洛尔由日本住友制药株式会社研发,1985年首次在日本上市。

应用
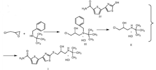
盐酸阿罗洛尔(结构式I的化合物)的制备

将63.00g(0.86mol)叔丁胺,39.51g(0.17mol)三乙基苄基氯化铵加入至350ml无水甲醇中。升温至65~70℃,将环氧氯丙烷的甲醇溶液(401.21g(4.34mol)环氧氯丙烷溶于700ml无水甲醇)缓慢滴加至上述体系中。滴加完毕,保温反应5小时。反应完毕,减压浓缩。在残余物中,依次加入结构式IV的化合物83.36g(0.344mol)、131.30g(0.95mol)碳酸钾、28.55g(0.172mol)碘化钾,升温至70~75℃,保温反应。反应完毕,降温至0~10℃,向上述体系依次加入300ml水,600ml二氯甲烷,静置分液。弃去水层,有机相加入80.00g无水硫酸钠干燥。过滤,滤液减压浓缩,残余物加入30ml浓盐酸(12N),搅拌使溶解。减压浓缩,残余物加入240ml乙酸乙酯和75ml无水甲醇,搅拌析晶。过滤,滤饼于60℃下干燥,得目标化合物(14.73g,黄色固体),收率:10.50%。
安全信息
MSDS信息
2-甲酰胺-5-(2-巯基-1,3-噻唑-4-基)-噻吩 价格(试剂级)
| 更新日期 | 产品编号 | 产品名称 | CAS号 | 包装 | 价格 |
|---|---|---|---|---|---|
| 2024/08/19 | XW025256089102 | 2-甲酰胺-5-(2-巯基-1,3-噻唑-4-基)-噻吩(阿罗洛尔杂质) | 52560-89-1 | 100MG | 68元 |
| 2024/08/19 | XW025256089101 | 2-甲酰胺-5-(2-巯基-1,3-噻唑-4-基)-噻吩(阿罗洛尔杂质) | 52560-89-1 | 25MG | 32元 |
2-甲酰胺-5-(2-巯基-1,3-噻唑-4-基)-噻吩 上下游产品信息
上游原料
5-(BROMOACETYL)THIOPHENE-2-CARBOXAMIDE5-乙酰基噻吩-2-甲酰氨5-乙酰基噻吩-2-羧酸5-乙酰基-噻吩-2-羧酸甲酯2-乙酰基噻吩甲基肟2-乙酰基噻吩



VIP会员
粤公网安备44196802000105号