达卡他韦二盐酸盐
应用制备生物活性靶点 用途与合成方法 MSDS 达卡他韦二盐酸盐价格(试剂级) 上下游产品信息 专题
| 中文名称 | 达卡他韦二盐酸盐 |
|---|---|
| 中文同义词 | 吡咯烷二基[(1S)-1-(1-甲基乙基)-2-氧代-2,1-乙烷二基]]]二氨基甲酸二甲酯二盐酸盐;N,N'-[[1,1'-联苯]-4,4'-二基双[1H-咪唑-5,2-二基-(2S)-2,1-吡咯烷二基[(1S)-1-(1-甲基乙基)-2-氧代-2,1-乙烷二基]]]二氨基甲酸二甲酯二盐酸盐;达卡他韦盐酸盐;达卡他韦二盐酸盐(成熟);达卡他韦盐;达卡他韦,达卡他韦二盐酸盐;达卡他韦双盐酸盐;达卡他韦二盐酸盐 |
| 英文名称 | Daclatasvir Dihydrochloride |
| 英文同义词 | BMS 790052;N,N'-[[1,1'-Biphenyl]-4,4'-diylbis[1H-imidazole-5,2-diyl-(2S)-2,1-pyrrolidinediyl[(1S)-1-(1-methylethyl)-2-oxo-2,1-ethanediyl]]]biscarbamic acid dimethyl ester hydrochloride;BMS-790052;BMS790052 ;BMS 790052;DACLATASVIR;BMS-790052 DIHYDROCHLORIDE;BMS790052 DIHYDROCHLORIDE;BMS 790052 DIHYDROCHLORIDE;BMS-790052; BMS790052 ; BMS 790052;DACLATASVIR;Daclatasvir dihydrochloride (BMS-790052);BMS 790052 (di HClsalt);N,N'-[[1,1'-Biphenyl]-4,4'-diylbis[1H-imidazole-5,2-diyl-(2S)-2,1-pyrrolidinediyl[(1S)-1-(1-methylethyl)-;Daclatasvir dihydrochloride (BMS-790052 dihydrochloride) |
| CAS号 | 1009119-65-6 |
| 分子式 | C40H51ClN8O6 |
| 分子量 | 775.35 |
| EINECS号 | 816-965-3 |
| 相关类别 | 医药原料;医药原料;医药 小分子抑制剂;小分子抑制剂,天然产物;蛋白酶;抑制剂;原料药;小分子抑制剂;医用原料;医药原料药 科研原料;Inhibitors |
| Mol文件 | 1009119-65-6.mol |
| 结构式 | ![]() |
达卡他韦二盐酸盐 性质
| 熔点 | >207°C (dec.) |
|---|---|
| 储存条件 | -20°C Freezer |
| 溶解度 | DMSO(少许)、甲醇(少许)、水(少许) |
| 形态 | 固体 |
| 颜色 | 灰白色至黄色 |
达卡他韦二盐酸盐 用途与合成方法
应用
达卡他韦二盐酸盐又叫盐酸达卡他韦,DAKLINZA。临床应用二盐酸盐形式。百时美施贵宝公司的丙肝新药盐酸达卡他韦是欧盟、日本批准的首个强效的NS5A 复制复合体抑制剂,主要联合其他药物,用于所有1、2、3、4基因型慢性丙型肝炎(HCV)成人感染者的治疗。此外盐酸达卡他韦治疗丙型肝炎的安全性,已在横跨各种不同群体中得到证明,包括老年患者、伴有晚期肝病群体、肝移植后受者群体及HIV/HCV共感染群体。
制备
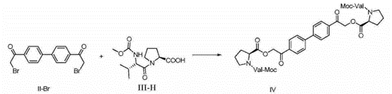
步骤一、

将5.0g(12.52mmol)II-Br、0.2gKI、7.5g(27.54mmol)III-H及6.9g(50.07mmol)K2CO3置于50ml丙酮中,搅拌下加热至40-45℃反应1.0h,TLC跟踪显示原料消失。冷至室温,加入25ml水,浓缩除去丙酮。水层用25ml2-甲基四氢呋喃(Me-THF)萃取3次,合并有机层,硫酸钠干燥,过滤,浓缩至干,直接用于后续反应。
步骤二、

将步骤一中制备的IV(12.52mmol),15.5g(200.3mmol)NH4OAc及4ml乙二醇单甲醚置于50ml二氧六环中,搅拌下回流4h,TLC显示原料基本消失,减压浓缩除去二氧六环。搅拌下加入25ml水及25ml二氯甲烷,分去水层,水层用25ml×2二氯甲烷萃取,合并有机层,活性炭脱色,并过滤通过铺有一层薄硅胶的漏斗,用二氯甲烷洗涤硅胶至无产品。
滤液浓缩至干,溶于60ml乙醇,搅拌下加入30ml浓度为1.2M的HCl/EtOH溶液,50℃搅拌3h,降至室温后继续搅拌12h,过滤,少许乙醇洗涤,干燥,得5.2g白色固体达卡他韦二盐酸盐(收率51%,以IV计),纯度大于99.0%。
生物活性
Daclatasvir是一种具有口服活性的抗病毒剂,抑制HCV的NS5A区域,用于治疗慢性遗传型1和3类的HCV感染。
靶点
| Target | Value |
| NS5A () |
安全信息
MSDS信息
达卡他韦二盐酸盐 价格(试剂级)
| 更新日期 | 产品编号 | 产品名称 | CAS号 | 包装 | 价格 |
|---|---|---|---|---|---|
| 2024/08/19 | HY-10465 | 达卡他韦二盐酸盐 Daclatasvir dihydrochloride | 1009119-65-6 | 5 mg | 450元 |
| 2024/08/19 | HY-10465 | 达卡他韦二盐酸盐 Daclatasvir dihydrochloride | 1009119-65-6 | 10mM * 1mLin DMSO | 500元 |



VIP会员
粤公网安备44196802000105号