2,4,5,6-四(9-咔唑基)-间苯二腈
化学性质用途合成方法 用途与合成方法 MSDS 2,4,5,6-四(9-咔唑基)-间苯二腈价格(试剂级) 上下游产品信息 专题
| 中文名称 | 2,4,5,6-四(9-咔唑基)-间苯二腈 |
|---|---|
| 中文同义词 | 2,4,5,6-四(9-咔唑基)-间苯二腈 1G;2,4,5,6-四(9H-咔唑-9-基)异酞腈;2,4,5,6-四(9-咔唑基)-间苯二腈;2,4,5,6-四(9-咔唑基)-间苯二;2,4,5,6-四咔唑基-1,3-苯二腈;2,4,5,6-四(9-咔唑基)-1,3-苯二腈;2,4,5,6-四(9H-咔唑-9-基)间苯二甲腈;2,4,5,6-四咔唑基-1,3-二氰基苯 |
| 英文名称 | 4CzIPN |
| 英文同义词 | 4CzIPN;(4r,6r)-2,4,5,6-tetra(9H-carbazol-9-yl)isophthalonitrile;2,4,5,6-Tetra-9H-carbazol-9-yl-1,3-benzenedicarbonitrile;2,4,5,6-Tetra(9H-carbazol-9-yl)isophthalonitrile;2,4,5,6-tetrakis(carbazol-9-yl)-1,3-dicyanobenzene;1,2,3,5-Tetrakis(carbazol-9-yl)-4,6-dicyanobenzene;1,3-Benzenedicarbonitrile, 2,4,5,6-tetra-9H-carbazol-9-yl-;2,4,5,6-tetrakis(carbazol-9-yl)-1,3-dicyanobenze |
| CAS号 | 1416881-52-1 |
| 分子式 | C56H32N6 |
| 分子量 | 788.89 |
| EINECS号 | |
| 相关类别 | 热延迟荧光材料;咔唑类;生物化学;光催化剂;定制产品;催化剂;OLED materrials;TADF |
| Mol文件 | 1416881-52-1.mol |
| 结构式 | ![]() |
2,4,5,6-四(9-咔唑基)-间苯二腈 性质
| 密度 | 1.32±0.1 g/cm3(Predicted) |
|---|---|
| 储存条件 | Amber Vial, Refrigerator |
| 溶解度 | DMSO(轻微)、甲醇(轻微、加热、超声处理) |
| 形态 | 固体 |
| 颜色 | 淡黄色至深黄色 |
| 稳定性 | 感光 |
| 熔点 | TGA: >300 °C?(0.5% weight loss) |
| Absorption | λmax?365 nm in acetonitrile |
| Fluorescene | λem?551 nm in acetonitrile |
2,4,5,6-四(9-咔唑基)-间苯二腈 用途与合成方法
化学性质
2,4,5,6-四(9-咔唑基)-间苯二腈在常温常压下为浅黄色固体,不溶于水,可溶于有机溶剂如乙醇、二甲基甲酰胺和氯仿等。其可被氧化剂氧化,如硝酸、高锰酸钾等。
用途
2,4,5,6-四(9-咔唑基)-间苯二腈是一种荧光材料分子,常用作有机光催化剂,多用于有机化学中的光化学反应。此外,其还可以用作母体化合物,用于合成其他的有机光催化剂。
合成方法

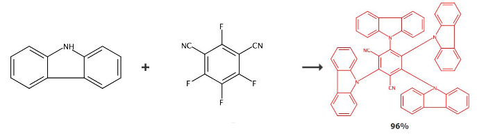
在一个干燥的反应器中,将氢化钠(用己烷洗涤)(500毫克,12.5毫摩尔,10当量)加入卡巴唑(1.05克)在干燥四氢呋喃中的溶液里。搅拌所得的反应混合物30分钟,然后向该混合物中加入250毫克四氟间苯二腈,继续搅拌反应混合物若干个小时。反应完成后,用水淬灭反应混合物,然后直接将反应混合物过滤,最后通过柱色谱法纯化产品得2,4,5,6-四(9-咔唑基)-间苯二腈。
安全信息
MSDS信息
2,4,5,6-四(9-咔唑基)-间苯二腈 价格(试剂级)
| 更新日期 | 产品编号 | 产品名称 | CAS号 | 包装 | 价格 |
|---|---|---|---|---|---|
| 2024/08/19 | XW02141688152101 | 2,4,5,6-四(9H-咔唑-9-基)间苯二甲腈 | 1416881-52-1 | 250MG | 990元 |
| 2024/04/30 | XW141688152101 | 2,4,5,6-四(9-咔唑基)-间苯二腈 | 1416881-52-1 | 500MG | 815元 |



VIP会员
粤公网安备44196802000105号