双苯恶唑酸
作用机理应用合成方法 用途与合成方法 MSDS 双苯恶唑酸价格(试剂级) 上下游产品信息
| 中文名称 | 双苯恶唑酸 |
|---|---|
| 中文同义词 | 双苯恶唑酸;双苯恶唑酸乙酯;4,5-二氢-5,5-二苯基异唑-3-羧酸乙酯;双苯唑酸;4,5-二氢-5,5-二苯基-3-异恶唑羧酸乙酯;4,5-二氢-5,5-二苯基-3-异恶唑羧酸乙酯(双苯恶唑酸);双苯噁唑酸;精双苯噁唑酸 |
| 英文名称 | ISOXADIFEN-ETHYL |
| 英文同义词 | ISOXADIFEN-ETHYL;aef122006;isoxadifen-ethyl(bsi,pa iso);ETHYL5,5-DIPHENYL-2-ISOXAZOLINE-3-CARBOXYLATE;Ethyl 4,5-dihydro-5,5-diphenylisoxazol-3-carboxylate;3-Isoxazolecarboxylic acid, 4,5-dihydro-5,5-diphenyl-, ethyl ester;4,5-Dihydro-5,5-diphenyl-3-isoxazolecarboxylic acid ethyl ester;Isoxadifen ethyl ester |
| CAS号 | 163520-33-0 |
| 分子式 | C18H17NO3 |
| 分子量 | 295.33 |
| EINECS号 | 443-870-0 |
| 相关类别 | 农用原药-原药;除草剂;除草剂中的安全剂;农药中间体;中间体;农业除草剂原料;有机化学;化工原料;对照品;herbicide safeners |
| Mol文件 | 163520-33-0.mol |
| 结构式 | ![]() |
双苯恶唑酸 性质
| 熔点 | 87-88℃ (ethyl ether ) |
|---|---|
| 沸点 | 407.7±55.0 °C(Predicted) |
| 密度 | 1.15±0.1 g/cm3 (20 ºC 760 Torr) |
| 蒸气压 | 0Pa at 20℃ |
| 储存条件 | Sealed in dry,Room Temperature |
| 颜色 | 白色到近乎白色 |
| 水溶解性 | 1.06mg/L at 20℃ |
| InChI | InChI=1S/C18H17NO3/c1-2-21-17(20)16-13-18(22-19-16,14-9-5-3-6-10-14)15-11-7-4-8-12-15/h3-12H,2,13H2,1H3 |
| InChIKey | MWKVXOJATACCCH-UHFFFAOYSA-N |
| SMILES | O1C(C2=CC=CC=C2)(C2=CC=CC=C2)CC(C(OCC)=O)=N1 |
| LogP | 3.8 at 30℃ |
| EPA化学物质信息 | Isoxadifen-ethyl (163520-33-0) |
双苯恶唑酸 用途与合成方法
作用机理
双苯恶唑酸通过减小母体除草剂的传导性来增加甲酰胺磺隆在玉米田施用的安全性。
应用
双苯恶唑酸可用作玉米和水稻田的除草剂安全剂。
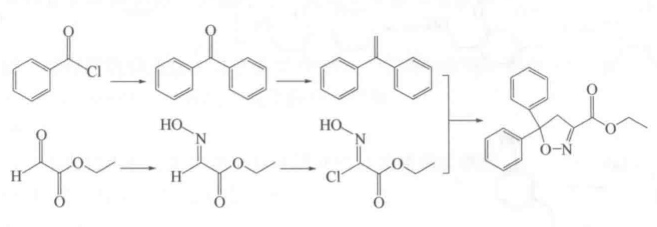
合成方法
双苯恶唑酸可经由以下反应制得:

安全信息
| 危险品标志 | Xn,N |
|---|---|
| 危险类别码 | 22-43-50-50/53 |
| 安全说明 | 36/37-61-60-22 |
| 危险品运输编号 | UN3077 9/PG 3 |
| WGK Germany | 3 |
| RTECS号 | NY2390000 |
| 海关编码 | 2934.99.1800 |
| 危险等级 | 9 |
| 包装类别 | III |
MSDS信息
双苯恶唑酸 价格(试剂级)
| 更新日期 | 产品编号 | 产品名称 | CAS号 | 包装 | 价格 |
|---|---|---|---|---|---|
| 2024/08/19 | XW0216352033006 | 双苯噁唑酸 | 163520-33-0 | 500G | 2808元 |
| 2024/08/19 | XW0216352033005 | 双苯噁唑酸 | 163520-33-0 | 100G | 936元 |



VIP会员
粤公网安备44196802000105号