环氟菌胺
概述作用机制理化性质 应用合成方法毒性 专题
| 中文名称 | 环氟菌胺 |
|---|---|
| 中文同义词 | 环氟菌胺 标准品;(Z)-N-[Α-(环丙基甲氧基亚氨基)-2,3-二氟-6-(三氟甲基)苄基]-2-苯乙酰胺;环氟菌胺;环己烷中环氟菌胺标准品;环氟菌胺,1000微克/ 毫升的丙酮溶液;乙腈中正环氟菌胺溶液,1000ΜG/ML;环菌胺 |
| 英文名称 | CYFLUFENAMID |
| 英文同义词 | cyflufenamid (bsi, pa iso);nf-149;CYFLUFENAMID STANDARD;CYFLUFENAMID;CyflufenaMide;N-{(Z)-[(Cyclopropylmethoxy)Amino][2,3-Difluoro-6-(Trifluoromethyl)Phenyl]Methylene}-2-Phenylacetamide;100 μg/mL in Acetonitrile;Cyflufenamid@1000 μg/mL in Acetone |
| CAS号 | 180409-60-3 |
| 分子式 | C20H17F5N2O2 |
| 分子量 | 412.35 |
| EINECS号 | |
| 相关类别 | 杀菌剂类 |
| Mol文件 | 180409-60-3.mol |
| 结构式 | ![]() |
环氟菌胺 性质
| 熔点 | 62.0℃ |
|---|---|
| 密度 | 1.36±0.1 g/cm3(Predicted) |
| 储存条件 | 0-6°C |
| 酸度系数(pKa) | 9.34±0.46(Predicted) |
| LogP | 4.054 (est) |
| EPA化学物质信息 | Cyflufenamid (180409-60-3) |
环氟菌胺 用途与合成方法
概述
环氟菌胺(试验代号:NF149,通用名称:cyflufenamid,商品名称:单剂Pancho,混剂PanchoTF)是日本曹达公司开发的、用于防治各种作物白粉病的酰胺类杀菌剂。环氟菌胺是一种新型白粉病专用杀菌剂,具有优异的保护、治疗活性、持效活性和耐雨水冲刷活性;与目前使用的众多杀菌剂无交互抗性。为防止抗性发生和扩大防治谱,同其他杀菌剂混用是非常必要的。
作用机制
环氟菌胺通过抑制白粉病菌生活史(也即发病过程)中菌丝上分生的吸器的形成,吸器的生长,次生菌丝的生长和附着器的形成。但对孢子萌发、芽方面的作用机理还不清楚,在研究中。试验结果表明环氟菌胺与吗啉类、三唑类、苯并咪唑类、嘧啶胺类杀菌剂,线粒体呼吸抑制剂,苯氧喹啉等无交互抗性。
理化性质
环氟菌胺是一种具芳香味的白色固体,熔点 61.5~62.5℃,沸点 256.8℃。相对密度1.347 (20℃)。蒸气压3.54X10-2mPa(20℃,气体饱和法)。分配系数 KowlgP=4.70(25℃,pH 6.75). Henry常数2.81X10-2P·am3/mol(20℃,计算值)。溶解度(g/L,20℃):水0.014(pH4)、0.52 (pH 6.5)、0.12(pH10):二氯甲烷902,内酮920,二甲苯658,乙睛943,甲醇653,乙醇 500,乙酸乙酷808,正己烷18.6,正庚烷15.7。在pH4~7的水溶液稳定,DH9水溶液DT 为288d;水溶液光解DT,为594d。pKa为12.08。
应用
环氟菌胺的室内保护活性试验结果表明对小麦、黄瓜、草莓、苹果、葡萄白粉病的 ECs(mg/L) 分别为0.2、0.2、0.2、0.8、0.8。大量的生物活性测定结果表明,它对众多的白粉病不仅有优异的保护和治疗活性,而且具有很好的持效活性和耐雨水冲刷活性。尽管其具有很好的蒸气活性和叶面扩散活性,但在植物体内的移动活性则比较差,即内吸活性差。它对作物安全。大田药效结果表明环氟菌胺推荐使用剂量为 25g/hm;在此剂量下,环氟菌胺对小麦白粉的保护和治疗防效大于90%,优于苯氧喹啉(quinoxyfen)150g/hm2、丁苯吗啉(fenpropimorph) 750g/hm2的防效,且增产效果明显。试验结果还表明它与目前使用的众多杀菌剂无交互抗性。试验结果还表明18.5%WDG(环氟菌胺十氟菌)的活性明优于单剂。
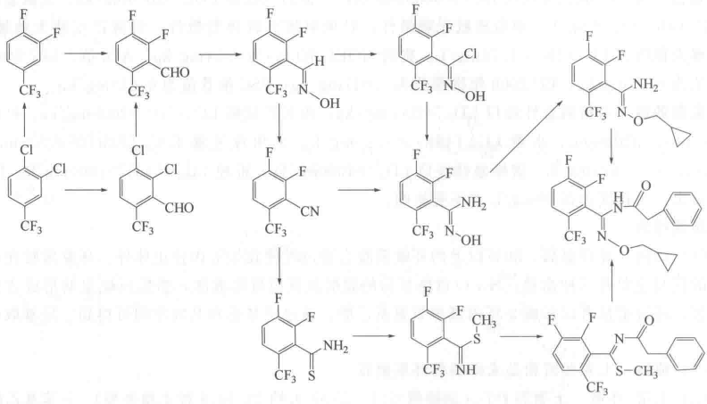
合成方法
以3,4-二氯三氟甲苯为原料,经如下反应即可制得环氟菌胺:
毒性
大(小)鼠急性经口LD50>5000mg/kg,大鼠急性经皮LD50>2000mg/kg。大鼠急性吸入LC50(4h)>4.76mg/L。对免皮肤无刺激性,对免眼睛有轻微刺激性,对豚鼠皮肤无致敏性。雄、雌大鼠吸入LC50(4h)>4.76mg/L。狗的 NOEL值(ly)为4.14mg/kg。ADI值:BfR 2006年 推荐值为0.04mg/kg;EC2008年推荐值为0.017mg/kg;FSC推荐值为0.041mg/kg。
安全信息
| 危险品标志 | Xn,N |
|---|---|
| 危险类别码 | 20-50/53 |
| 安全说明 | 60-61 |
| 危险品运输编号 | UN 3077 9 / PGIII |
| WGK Germany | 3 |



VIP会员
粤公网安备44196802000105号