扫一扫
用手机做贸易
H5移动端
手机访问更快捷
微信公众号
手机签到赢积分
微信小程序
玩转移动新营销
选择频道搜索
微信扫码
>
异丙托溴铵 一水合物
¥4580.00元/瓶
¥1646.40元/瓶
DL-色氨酰胺盐酸盐
¥95.00元/瓶
N-Methyl Viloxazine-
¥2898.00元/瓶
Methyl Valerimidate
¥1610.00元/瓶
(S)-2-Methylvaleric
¥4254.00元/瓶
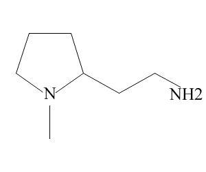
N-甲基-2-(2-氨乙基)-吡咯烷
51387-90-7
C7H16N2
128.22
257-169-0
0.885 g/mL at 25 °C(lit.)
MFCD00003175
室温
4-乙酰基-2-甲基苯甲酸
¥55.00元/瓶
β-环糊精 BC/500g
¥35.40元/瓶
3,5-二硝基苯甲酸乙酯
¥813.00元/瓶
4-氨基四氢吡喃
¥793.00元/g
Butanedioic acid, 2-hydroxy-, (2S)-, com
¥3900.00元/瓶
¥2300.00元/瓶
客服电话:400-6226-992
周一至周五:08:00-17:30
周六:08:00-12:00
400-6226-992