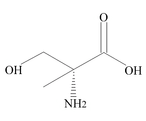
(+)-2-甲基-L-丝氨酸信息二维码

微信扫码

520.00元/mg
粉丝价 416.00   关注店铺,即享粉丝价
发货 生产厂家直发 付款后24小时内
评价 已有 0 条评价对比
人气 已有 1 人关注
CAS 16820-18-1
级别 国标/gb
品牌 macklin
规格 250mg
含量 98.0%
库存码 M801406-250mg
分子式 C4H9NO3
分子量 119.12
英文名 (+)-2-Methyl-L-serine
数量
+-
库存2mg   起订1mg
 
联系方式
加关注2

云试剂自营壹店

VIP   VIP会员第2年
资料通过认证
保证金未缴纳
  • 广东-东莞市
  • 上次登录 2024-08-06
  • 云试剂自营壹店 (先生)  

企业主推商品

更多>
信息二维码

微信扫码

(+)-2-甲基-L-丝氨酸 ;L-alpha-甲基丝氨酸,(S)-2-氨基-2-甲基-3-羟基丙酸
16820-18-1
C4H9NO3
286-288 °C
119.12
MFCD00145243
2~8 °C,干燥,密封
反对 0举报收藏 0

类似商品

更多>