1-脱氧野尻霉素信息二维码

微信扫码

1600.00元/mg
粉丝价 1280.00   关注店铺,即享粉丝价
发货 生产厂家直发 付款后24小时内
评价 已有 0 条评价对比
人气 已有 0 人关注
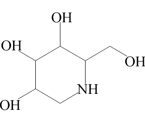
CAS 19130-96-2
级别 国标/gb
品牌 macklin
规格 50mg
含量 其他纯度
库存码 D806399-50mg
分子式 C6H13NO4
分子量 163.17
英文名 1-Deoxynojirimycin
数量
+-
库存6mg   起订1mg
 
联系方式
加关注2

云试剂自营壹店

VIP   VIP会员第2年
资料通过认证
保证金未缴纳
  • 广东-东莞市
  • 上次登录 2024-08-06
  • 云试剂自营壹店 (先生)  

企业主推商品

更多>
信息二维码

微信扫码

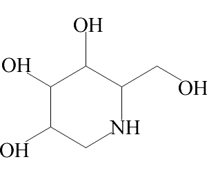
1-脱氧野尻霉素;相关CAS号:70956-02-4
19130-96-2
C6H13NO4
195-196°C
163.17
2~8°C
反对 0举报收藏 0

类似商品

更多>