四丁基氯化铵/1112-67-0信息二维码

微信扫码

145.00元/g
粉丝价 116.00   关注店铺,即享粉丝价
发货 生产厂家直发 付款后24小时内
评价 已有 0 条评价对比
人气 已有 1 人关注
CAS 1112-67-0
级别 国标/gb
品牌 macklin
规格 100g
含量 80.0%
库存码 T828321-100g
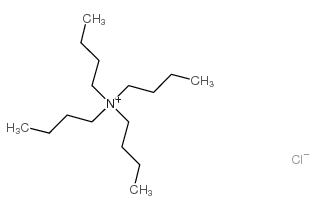
分子式 C16H36NCl
分子量 277.92
英文名 Tetrabutylammonium chloride
数量
+-
库存11g   起订1g
 
联系方式
加关注2

云试剂自营壹店

VIP   VIP会员第2年
资料通过认证
保证金未缴纳
  • 广东-东莞市
  • 上次登录 2024-08-06
  • 云试剂自营壹店 (先生)  

企业主推商品

更多>
信息二维码

微信扫码

四丁基氯化铵 ;氯化四丁铵,四正丁基氯化铵
1112-67-0
C16H36NCl
277.92
214-195-7
0.98g/mL
MFCD00011635
室温,密封
反对 0举报收藏 0

类似商品

更多>