双(四丁基铵)二氢双(异硫氰酸)双(2,2'-二吡啶基-4,4'-二甲酸)钌(II)信息二维码

微信扫码

538.00元/mg
粉丝价 430.40   关注店铺,即享粉丝价
发货 生产厂家直发 付款后24小时内
评价 已有 0 条评价对比
人气 已有 1 人关注
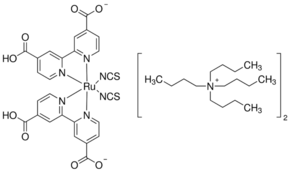
CAS 207347-46-4
级别 国标/gb
品牌 macklin
规格 100mg
含量 95.0%
库存码 B835579-100mg
分子式 C58H86N8O8RuS2
英文名 Bis(tetrabutylammonium) Dihydrogen Bis(isothiocyanato)bis(2,2'-bipyridyl-4,4'-dicarboxylato)ruthenium(II)
该商品库存不足
 
联系方式
加关注2

云试剂自营壹店

VIP   VIP会员第2年
资料通过认证
保证金未缴纳
  • 广东-东莞市
  • 上次登录 2024-08-06
  • 云试剂自营壹店 (先生)  

企业主推商品

更多>
信息二维码

微信扫码

N719
207347-46-4
C58H86N8O8RuS2
250-260°C
2~8℃,干燥
反对 0举报收藏 0

类似商品

更多>