羧甲基纤维素钠/9085-26-1信息二维码

微信扫码

103.00元/g
粉丝价 82.40   关注店铺,即享粉丝价
发货 生产厂家直发 付款后24小时内
评价 已有 0 条评价对比
人气 已有 0 人关注
CAS 9085-26-1
级别 国标/gb
品牌 macklin
规格 500g
含量 其他纯度
库存码 C835846-500g
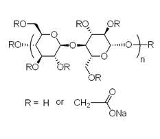
分子式 (C6+2yH7+x+2yO2+x+3yNay)n
英文名 Carboxymethyl Cellulose Sodium
数量
+-
库存11g   起订1g
 
联系方式
加关注2

云试剂自营壹店

VIP   VIP会员第2年
资料通过认证
保证金未缴纳
  • 广东-东莞市
  • 上次登录 2024-08-06
  • 云试剂自营壹店 (先生)  

企业主推商品

更多>
信息二维码

微信扫码

9085-26-1
(C6+2yH7+x+2yO2+x+3yNay)n
300°C
室温,干燥
反对 0举报收藏 0

类似商品

更多>