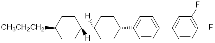
反,反-4-(4-丙基双环己基-4-基)-3,4-二氟联苯信息二维码

微信扫码

32.00元/g
粉丝价 25.60   关注店铺,即享粉丝价
发货 生产厂家直发 付款后24小时内
评价 已有 0 条评价对比
人气 已有 0 人关注
CAS 119990-81-7
级别 国标/gb
品牌 macklin
规格 1g
含量 99.0%
库存码 P836003-1g
分子式 C27H34F2
分子量 396.562
英文名 trans,trans-4'-(4'-Propylbicyclohexyl-4-yl)-3,4-difluorobiphenyl
数量
+-
库存7g   起订1g
 
联系方式
加关注2

云试剂自营壹店

VIP   VIP会员第2年
资料通过认证
保证金未缴纳
  • 广东-东莞市
  • 上次登录 2024-08-06
  • 云试剂自营壹店 (先生)  

企业主推商品

更多>
信息二维码

微信扫码

丙基双环己基-3,4-二氟联苯
119990-81-7
C27H34F2
396.562
MFCD11053440
室温,密封,干燥
反对 0举报收藏 0

类似商品

更多>