DNTPD/199121-98-7信息二维码

微信扫码

935.00元/g
粉丝价 748.00   关注店铺,即享粉丝价
发货 生产厂家直发 付款后24小时内
评价 已有 0 条评价对比
人气 已有 2 人关注
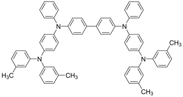
CAS 199121-98-7
级别 国标/gb
品牌 macklin
规格 5g
含量 99.0%
库存码 N838333-5g
分子式 C64H54N4
分子量 879
英文名 N1,N1'-([1,1'-biphenyl]-4,4'-diyl)bis(N1-phenyl-N4,N4-di-m-tolylbenzene-1,4-diamine)
数量
+-
库存9g   起订1g
 
联系方式
加关注2

云试剂自营壹店

VIP   VIP会员第2年
资料通过认证
保证金未缴纳
  • 广东-东莞市
  • 上次登录 2024-08-06
  • 云试剂自营壹店 (先生)  

企业主推商品

更多>
信息二维码

微信扫码

199121-98-7
C64H54N4
879
室温,干燥
反对 0举报收藏 0

类似商品

更多>