光稳定剂 uv-3346信息二维码

微信扫码

307.00元/g
粉丝价 245.60   关注店铺,即享粉丝价
发货 生产厂家直发 付款后24小时内
评价 已有 0 条评价对比
人气 已有 3 人关注
CAS 82451-48-7
级别 国标/gb
品牌 macklin
规格 500g
含量 97.0%
库存码 N872022-500g
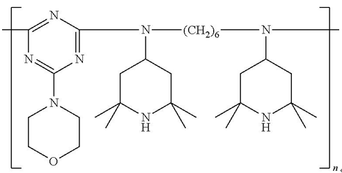
分子式 (C24H50N4.C7H8Cl2N4O)n
英文名 N1,N6-Bis(2,2,6,6-tetramethylpiperidin-4-yl)hexane-1,6-diamine compound with 4-(4,6-dichloro-1,3,5-triazin-2-yl)morpholine(Poly)
数量
+-
库存2g   起订1g
 
联系方式
加关注2

云试剂自营六店

VIP   VIP会员第2年
资料未认证
保证金未缴纳
  • 广东-东莞市
  • 上次登录 2024-08-06
  • 云试剂自营六店 (先生)  

企业主推商品

更多>
信息二维码

微信扫码

聚[N,N`-二(2,2,6,6-四甲基-4-哌啶基)-1,6-己二胺-CO-2,4-二氯-6-吗啡-1,3,5-三嗪]聚[N,N′-双(2,2,6,6-四甲基-4-哌啶基)-1,6-己二胺-CO-2,4-二氯-6-吗啉-1,3,5-三嗪]聚{(6-吗啉基-5-三嗪-2,4-二基)(2,2,6,6-四甲基哌啶基)亚胺基六亚甲基[(2,2,6,6-四甲基哌啶基)-亚胺基]}光稳定剂 UV-3346N,N’-二-(2,2,6,6-四甲基哌啶基-4-基)-1,6-己二氨与4-二氯-6-4-吗啉基-1,3,5-三
82451-48-7
(C24H50N4.C7H8Cl2N4O)n
478.5°C at 760 mmHg
2-8°C
反对 0举报收藏 0

类似商品

更多>