聚天冬氨酸钠/181828-06-8信息二维码

微信扫码

43.00元/g
粉丝价 34.40   关注店铺,即享粉丝价
发货 生产厂家直发 付款后24小时内
评价 已有 0 条评价对比
人气 已有 11 人关注
CAS 181828-06-8
级别 国标/gb
品牌 macklin
规格 25g
含量 其他纯度
库存码 S874929-25g
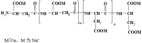
分子式 C4H5NO3M(C4H4NO3M)m(C4H4NO3M)nC4H4NO3M2
英文名 Sodium of Polyaspartic acid
数量
+-
库存11g   起订1g
 
联系方式
加关注2

云试剂自营六店

VIP   VIP会员第2年
资料未认证
保证金未缴纳
  • 广东-东莞市
  • 上次登录 2024-08-06
  • 云试剂自营六店 (先生)  

企业主推商品

更多>
信息二维码

微信扫码

相关CAS号:181828-06-8,34345-47-6,35608-40-6;聚天冬氨酸(钠) PASP;聚天门冬氨酸钠盐;PASP
181828-06-8
C4H5NO3M(C4H4NO3M)m(C4H4NO3M)nC4H4NO3M2
室温
反对 0举报收藏 0

类似商品

更多>