AT6 /2098836-50-9信息二维码

微信扫码

1446.00元/mg
粉丝价 1156.80   关注店铺,即享粉丝价
发货 生产厂家直发 付款后24小时内
评价 已有 0 条评价对比
人气 已有 0 人关注
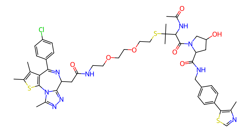
CAS 2098836-50-9
级别 国标/gb
品牌 macklin
规格 1mg
含量 98.0%
库存码 A880543-1mg
分子式 C48H58ClN9O7S3
分子量 1004.68
英文名 AT6 
数量
+-
库存1mg   起订1mg
 
联系方式
加关注2

云试剂自营六店

VIP   VIP会员第2年
资料未认证
保证金未缴纳
  • 广东-东莞市
  • 上次登录 2024-08-06
  • 云试剂自营六店 (先生)  

企业主推商品

更多>
信息二维码

微信扫码

2098836-50-9
C48H58ClN9O7S3
1004.68
2-8℃
反对 0举报收藏 0

类似商品

更多>