乳酸镁二水合物/179308-96-4信息二维码

微信扫码

368.00元/g
粉丝价 294.40   关注店铺,即享粉丝价
发货 生产厂家直发 付款后24小时内
评价 已有 0 条评价对比
人气 已有 0 人关注
CAS 179308-96-4
级别 国标/gb
品牌 macklin
规格 500g
含量 其他纯度
库存码 M886128-500g
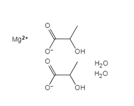
分子式 C6H14MgO8
分子量 238.48
英文名 Magnesium lactate dihydrate
数量
+-
库存5g   起订1g
 
联系方式
加关注2

云试剂自营六店

VIP   VIP会员第2年
资料未认证
保证金未缴纳
  • 广东-东莞市
  • 上次登录 2024-08-06
  • 云试剂自营六店 (先生)  

企业主推商品

更多>
信息二维码

微信扫码

乳酸镁,二水
179308-96-4
C6H14MgO8
238.48
室温,密封,干燥
反对 0举报收藏 0

类似商品

更多>