分散红 13/3180-81-2信息二维码

微信扫码

342.00元/g
粉丝价 273.60   关注店铺,即享粉丝价
发货 生产厂家直发 付款后24小时内
评价 已有 0 条评价对比
人气 已有 1 人关注
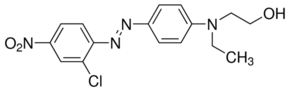
CAS 3180-81-2
级别 国标/gb
品牌 macklin
规格 5g
含量 95.0%
库存码 D902436-5g
分子式 C16H17ClN4O3
分子量 348.78
英文名 Disperse Red 13
数量
+-
库存4g   起订1g
 
联系方式
加关注2

云试剂自营六店

VIP   VIP会员第2年
资料未认证
保证金未缴纳
  • 广东-东莞市
  • 上次登录 2024-08-06
  • 云试剂自营六店 (先生)  

企业主推商品

更多>
信息二维码

微信扫码

2-[[4-[(2-氯-4-硝基苯基)偶氮]苯基]乙氨基]乙醇
3180-81-2
C16H17ClN4O3
122-129 °C (lit.)
348.78
221-668-1
MFCD00007208
室温,干燥,密封
反对 0举报收藏 0

类似商品

更多>