(S)-2-(2-(2-氨基乙酰氨基)乙酰氨基)-4-甲基戊酸信息二维码

微信扫码

466.00元/g
粉丝价 372.80   关注店铺,即享粉丝价
发货 生产厂家直发 付款后24小时内
评价 已有 0 条评价对比
人气 已有 0 人关注
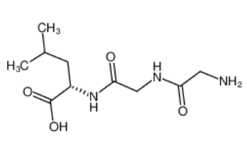
CAS 14857-82-0
级别 国标/gb
品牌 macklin
规格 5g
含量 98.0%
库存码 S915618-5g
分子式 C10H19N3O4
分子量 245.28
英文名 (S)-2-(2-(2-Aminoacetamido)acetamido)-4-methylpentanoic acid
数量
+-
库存1g   起订1g
 
联系方式
加关注2

云试剂自营六店

VIP   VIP会员第2年
资料未认证
保证金未缴纳
  • 广东-东莞市
  • 上次登录 2024-08-06
  • 云试剂自营六店 (先生)  

企业主推商品

更多>
信息二维码

微信扫码

14857-82-0
C10H19N3O4
245.28
MFCD00067447
2-8°C
反对 0举报收藏 0

类似商品

更多>