活性黑KN-B信息二维码

微信扫码

103.00元/g
粉丝价 82.40   关注店铺,即享粉丝价
发货 生产厂家直发 付款后24小时内
评价 已有 0 条评价对比
人气 已有 1 人关注
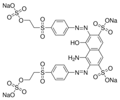
CAS 17095-24-8
级别 国标/gb
品牌 macklin
规格 10g
含量 其他纯度
库存码 R915703-10g
分子式 C26H21N5Na4O19S6
分子量 991.82
英文名 Reactive Black 5
数量
+-
库存11g   起订1g
 
联系方式
加关注2

云试剂自营六店

VIP   VIP会员第2年
资料未认证
保证金未缴纳
  • 广东-东莞市
  • 上次登录 2024-08-06
  • 云试剂自营六店 (先生)  

企业主推商品

更多>
信息二维码

微信扫码

反应黑 KN-8BG
17095-24-8
C26H21N5Na4O19S6
>300 °C(lit.)
991.82
1.21 g/cm3 at 20 °C
MFCD00013464
室温
反对 0举报收藏 0

类似商品

更多>