蔗果十一糖/137405-36-8信息二维码

微信扫码

4576.00元/mg
粉丝价 3660.80   关注店铺,即享粉丝价
发货 生产厂家直发 付款后24小时内
评价 已有 0 条评价对比
人气 已有 1 人关注
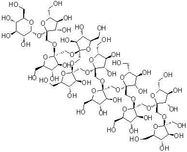
CAS 137405-36-8
级别 高效液相色谱HPLC
品牌 macklin
规格 5mg
含量 98.0%
库存码 F918008-5mg
分子式 C66H112O56
分子量 1801.57
英文名 Fructo-oligosaccharide DP11 / GF10
数量
+-
库存1mg   起订1mg
 
联系方式
加关注2

云试剂自营六店

VIP   VIP会员第2年
资料未认证
保证金未缴纳
  • 广东-东莞市
  • 上次登录 2024-08-06
  • 云试剂自营六店 (先生)  

企业主推商品

更多>
信息二维码

微信扫码

137405-36-8
C66H112O56
1801.57
2-8°C
反对 0举报收藏 0

类似商品

更多>