三[(七氟丙基羟亚甲基)- d-樟脑]铕衍生物信息二维码

微信扫码

1819.00元/g
粉丝价 1455.20   关注店铺,即享粉丝价
发货 生产厂家直发 付款后24小时内
评价 已有 0 条评价对比
人气 已有 11 人关注
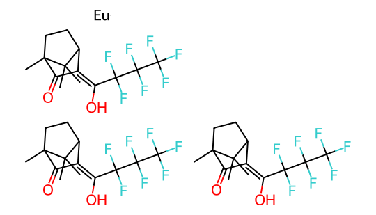
CAS 34788-82-4
级别 国标/gb
品牌 macklin
规格 1g
含量 98.0%
库存码 E920096-1g
分子式 C42H42EuF21O6
分子量 1193.71
英文名 EUROPIUM TRIS[3-(HEPTAFLUOROPROPYLHYDROXYMETHYLENE)-(+)-CAMPHORATE]
数量
+-
库存6g   起订1g
 
联系方式
加关注2

云试剂自营六店

VIP   VIP会员第2年
资料未认证
保证金未缴纳
  • 广东-东莞市
  • 上次登录 2024-08-06
  • 云试剂自营六店 (先生)  

企业主推商品

更多>
信息二维码

微信扫码

34788-82-4
C42H42EuF21O6
156-158 °C(lit.)
1193.71
MFCD00151059
2-8°C
反对 0举报收藏 0

类似商品

更多>