L-同型半胱氨酸信息二维码

微信扫码

799.00元/mg
粉丝价 639.20   关注店铺,即享粉丝价
发货 生产厂家直发 付款后24小时内
评价 已有 0 条评价对比
人气 已有 0 人关注
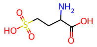
CAS 14857-77-3
级别 国标/gb
品牌 macklin
规格 25mg
含量 其他纯度
库存码 L920411-25mg
分子式 C4H9NO5S
分子量 183.18
英文名 L-2-AMINO-4-SULFOBUTYRIC ACID
数量
+-
库存10mg   起订1mg
 
联系方式
加关注2

云试剂自营六店

VIP   VIP会员第2年
资料未认证
保证金未缴纳
  • 广东-东莞市
  • 上次登录 2024-08-06
  • 云试剂自营六店 (先生)  

企业主推商品

更多>
信息二维码

微信扫码

14857-77-3
C4H9NO5S
183.18
1.638±0.06 g/cm3(Predicted)
MFCD00066018 
2-8°C,密封,干燥
反对 0举报收藏 0

类似商品

更多>