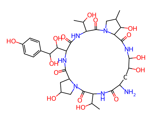
(2R,6S,9S,11R,12R,14aS,15S,16S,20S,23S,25aS)-9-氨基-23-((1S,2S)-1,2-二羟基-2-(4-羟基苯基)乙基)-2,11,12,15-四羟基-6,20-双((R)-1-羟乙基)-16-甲基十六氢-1H-二吡咯并[2,1-c:2',1'-l][1,4,7,10,13,16]六氮杂环二十一烯-5,8,14,19,22,25(9H,25aH)-己酮;棘球白素(伊曲康唑) B;阿尼芬净中间体;棘球白素;棘白菌素 B;棘球白素 B;棘白菌素B;
79411-15-7
C34H61N7O16
797.81
1330.8 °C at 760 mmHg (lit.)
MFCD03265632
−20°C,干燥





VIP会员
















粤公网安备44196802000105号