D-(-)-果糖-13C6信息二维码

微信扫码

6698.00元/mg
粉丝价 5358.40   关注店铺,即享粉丝价
发货 生产厂家直发 付款后24小时内
评价 已有 0 条评价对比
人气 已有 1 人关注
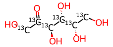
CAS 201595-65-5
级别 国标/gb
品牌 macklin
规格 100mg
含量 98.0%
库存码 D991890-100mg
分子式 C6H12O6
分子量 186.21
英文名 D-[UL-13C6]FRUCTOSE
数量
+-
库存1mg   起订1mg
 
联系方式
加关注0

云试剂自营八店

VIP   VIP会员第2年
资料未认证
保证金未缴纳
  • 广东-东莞市
  • 上次登录 2024-08-06
  • 云试剂自营八店 (先生)  

企业主推商品

更多>
信息二维码

微信扫码

201595-65-5
C6H12O6
119-122 °C(dec.)
186.21
MFCD00144075
2-8°C, 密封, 干燥, 惰性气体
反对 0举报收藏 0

类似商品

更多>