氯酯磺草胺
理化性质毒性作用机理磺酰胺类除草剂用途合成方法注意事项 专题
| 中文名称 | 氯酯磺草胺 |
|---|---|
| 中文同义词 | 氯酯磺草胺 CLORANSULAM-METHYL;3-氯-2-[(5-乙氧基-7-氟-[1,2,4]三唑并[5,1-C]嘧啶-2-基)磺酰氨基]苯甲酸甲酯;氯酯磺草胺 标准品;氯酯磺草胺;氯酯磺草安;氯酯磺草胺溶液, 100PPM;3-氯-2-[(5-乙氧基-7-氟-[1,2,4]三唑并[5,1-C]嘧啶-2-基)磺酰;乙腈/甲醇中氯酯磺草胺溶液,1000UG/ML |
| 英文名称 | CLORANSULAM-METHYL |
| 英文同义词 | Benzoic acid, 3-chloro-2-[[(5-ethoxy-7-fluoro[1,2,4]triazolo[1,5-c]pyrimidin-2-yl)sulfonyl]amino]-, methyl ester;CLORANSULAM-METHYL;cloransulam-methyl (bsi, pa iso, ansi);xde-565;Methyl 3-chloro-2-{[(5-ethoxy-7-fluoro[1,2,4]triazolo[1,5-c]pyrimidine-2-yl)sulfonyl]amino}benzoate;Methyl 3-chloro-N-(5-ethoxy-7-fluoro[1,2,4]triazolo[1,5-c]pyrimidin-2-ylsulfonyl)anthranilate;Methyl 3-chloro-2-[(5-ethoxy-7-fluoro-[1,2,4]triazolo[5,1-c]pyrimidin-2-yl)sulfonylamino]benzoate;3-Chloro-2-[[(5-ethoxy-7-fluoro[1,2,4]triazolo[1,5-c]pyrimidin-2-yl)sulfonyl]amino]benzoic acid, Methyl ester |
| CAS号 | 147150-35-4 |
| 分子式 | C15H13ClFN5O5S |
| 分子量 | 429.81 |
| EINECS号 | 405-090-9 |
| 相关类别 | 原料药;农药原药;农药原料;除草剂;农用兽用原料;中间体;农用原料;化工原料;化学试剂-农药原料;科研精品试剂;化学试剂 |
| Mol文件 | 147150-35-4.mol |
| 结构式 | ![]() |
氯酯磺草胺 性质
| 熔点 | 216-218 °C |
|---|---|
| 密度 | 1.538 g/cm3 |
| 储存条件 | 0-6°C |
| 酸度系数(pKa) | 3.97±0.50(Predicted) |
| BRN | 7501727 |
| CAS 数据库 | 147150-35-4 |
| EPA化学物质信息 | Cloransulam-methyl (147150-35-4) |
氯酯磺草胺 用途与合成方法
理化性质
纯品外观为白色固体。熔点:216~218℃;蒸气压(25℃):4.0×10-11mPa;溶解度(mg/L,25℃):在水中3(pH5缓冲液),184(pH7缓冲液)、3430(pH9缓冲液);在有机溶液中:丙酮中4360,乙腈中5500,二氯甲烷中6980,乙酸乙酯中980,己烷中<10,甲醇中470,辛醇中<10,甲苯中14。
毒性
大鼠急性经口LD50>5000mg/kg。兔急性经皮LD50>2000mg/kg,对兔皮无刺激性,对豚鼠皮肤无致敏性。大鼠急性吸入LC50(4h)>3.77mg/L。NOEL数据[mg/(kg·d)]:狗(ly)5,雄小鼠(90d)50。ADI(EPA)RfD 0.1mg/kg。微核试验及CHO试验均为阴性。
作用机理
氯酯磺草胺属于乙酰乳酸合成酶(ALS)抑制剂。氯酯磺草胺是磺酰胺类除草剂。经杂草叶片、根吸收,累积在生长点,抑制乙酰乳酸合成酶(ALS),影响蛋白质的合成,使杂草停止生长而死亡。用于大豆田茎叶喷雾,防除阔叶杂草。
磺酰胺类除草剂
氯酯磺草胺是美国陶氏益农公司最新研制的磺酰胺类除草剂,主要用于大豆田茎叶喷雾防除阔叶杂草。药剂经杂草叶片、根吸收累积在生长点,抑制乙酰乳酸合成酶(ALS),影响蛋白质的合成,使杂草停止生长而死亡。田间药效试验表明,氯酯磺草胺对春大豆田阔叶杂草鸭跖草、红蓼、豚草有较好的防除效果,对苦菜、苣荬菜有较强的抑制作用。
磺酰胺类除草剂与磺酰脲类除草剂类似,磺酰胺类除草剂也是典型的乙酰乳酸合成酶抑制剂。它们以ALS为靶标,是涉及丙酮酸和硫胺素焦磷酸(TPP)的混合型抑制剂,对酶的结合部位进行竞争,而对基质或辅因子没有竞争作用。
磺酰胺类除草剂是由美国陶氏益农公司研制开发的一类新的乙酰乳酸合成酶抑制剂。其主要结构形式是三唑并嘧啶磺酰胺,现有6个品种,都是旱田除草剂,包括唑嘧磺草胺、甲氧磺草胺、氯酯磺草胺、双氯磺草胺、双氟磺草胺和五氟磺草胺。唑嘧磺草胺对大豆、玉米、小麦、大麦、豌豆、苜蓿、三叶草等安全,对后茬作物无不良影响。甲氧磺草胺苗后用于防治小麦、大麦、黑麦田中大多数主要的阔叶杂草,苗前和苗后使用可防除玉米田中大多数主要的阔叶杂草。氯酯磺草胺主要用于大豆田中苗前和苗后防除阔叶杂草,对苍耳、豚草、三裂叶豚草、甘薯属和苘麻有特效。双氯磺草胺是一种大豆田除草剂。双氟磺草胺主要用于苗后防除冬小麦田阔叶杂草。五氟磺草胺是近期报道的除草剂,主要用于防除水稻田的杂草。
本信息由Chemicalbook晓楠编辑(2015-08-29)。
用途
氯酯磺草胺主要用于防除大多数重要的阔叶杂草,如荷麻、豚草、三裂豚草、苍耳、裂叶牵牛、向日葵等。
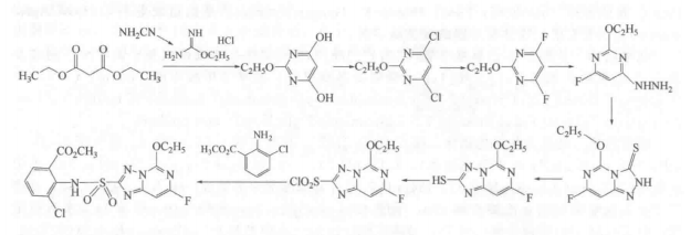
合成方法
氯酯磺草胺以氨基氰、丙二酸二乙酯为起始原料,经多步反应制得2-乙氧基-4,6-二氟咤啶。2-乙氧基-4,6-二氟密啶首先与水合腓反应,再与二硫化碳合环,重排、氯磺化后与取代苯胺反应,处理即得目的物。反应式如下:

注意事项
1、施用该药后的大豆叶片可能出现暂时一定程度的退绿药害症状,后期可恢复正常,不影响产量;对未使用过大豆新品种,在小试安全后,再大面积使用。
2、氯酯磺草胺仅限于一年一茬的春大豆田施用。对后茬作物的安全性试验:在推荐剂量下:①小麦、大麦:施药后安全间隔期为3个月;②玉米、高墚、花生的安全间隔期为10个月;③甜菜、向日葵、烟草的安全间隔期为22个月以上。
安全信息
| 危险品标志 | Xn,N |
|---|---|
| 危险类别码 | 20-50 |
| 安全说明 | 61 |
| 危险品运输编号 | UN 3077 9 / PGIII |
| WGK Germany | 3 |
| 毒害物质数据 | 147150-35-4(Hazardous Substances Data) |

