喹氧灵
概述合成方法理化性质安全信息主要应用毒性环境影响杀菌机理主要参考文献 用途与合成方法 MSDS 喹氧灵价格(试剂级) 上下游产品信息
| 中文名称 | 喹氧灵 |
|---|---|
| 中文同义词 | 快诺芬;喹氧灵;苯氧喹啉;喹氧灵/苯氧喹啉;苯氧喹啉溶液,1000PPM;喹氧灵 标准品;(5,7-二氯-4-喹啉基)-(4-氟苯基)醚;5,7-二氯-4-(4-氟苯氧基)喹啉 |
| 英文名称 | QUINOXYFEN |
| 英文同义词 | QUINOXYFEN;FORTRESS(R);Quinoline, 5,7-dichloro-4-(4-fluorophenoxy)-;(5,7-dichloro-4-quinolyl) (4-fluorophenyl) ether;Quinoxyfen 100mg [124495-18-7];Legend (fungicide);Legend Elios;Quintec |
| CAS号 | 124495-18-7 |
| 分子式 | C15H8Cl2FNO |
| 分子量 | 308.13 |
| EINECS号 | 602-997-3 |
| 相关类别 | 农残、兽药及化肥类;杀菌剂类;分析标准品;添加剂;Agro-Products;Aromatics;Intermediates & Fine Chemicals;Pharmaceuticals;API |
| Mol文件 | 124495-18-7.mol |
| 结构式 | ![]() |
喹氧灵 性质
| 熔点 | 105-106° |
|---|---|
| 沸点 | 423℃ |
| 密度 | 1.430 |
| 蒸气压 | 1.2 x 10-5 Pa (20 °C) |
| 闪点 | >100 °C |
| 储存条件 | 0-6°C |
| 溶解度 | 可溶于氯仿(少许)、甲醇(少许) |
| 形态 | 固体 |
| 水溶解性 | 0.12 mg l-1 (20 °C) |
| 酸度系数(pKa) | 2.87±0.50(Predicted) |
| 颜色 | 白色至浅黄色至浅橙色 |
| Merck | 14,8079 |
| LogP | 5.1 at 20℃ |
| 解离常数 | 3.56 |
| EPA化学物质信息 | Quinoxyfen (124495-18-7) |
喹氧灵 用途与合成方法
概述
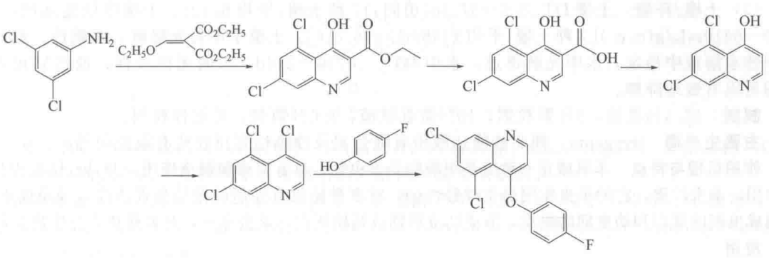
喹氧灵(quinoxyfen)亦称快诺芬,是美国陶氏益农公司近年来新推出的一种喹啉类杀真菌剂,属苯氧基喹啉类杀菌剂。这种能起保护作用的杀真菌剂,包括有悬浮液与乳液的单成分制剂与混配剂,被广泛应用于樱桃、葡萄、莴苣等蔬菜水果作物。该杀菌剂于1997年首次批准在欧洲使用。国外前期研究表明,此杀菌剂对白粉菌的防治有很好的效果,但目前在欧洲已发现抗性菌株,而我国现在还未在生产上使用。
合成方法
以3,5-二氯苯胺和对氟苯酚为原料,经如下反应即得目的物苯氧喹啉(喹氧灵):

理化性质
密度:1.43 g/cm3
沸点:423ºC
折射率:1.648
蒸汽压:5.62E-07mmHg at 25°C
安全信息
危险品运输编码:UN3077 9/PG 3
危险类别码:R43
安全说明:S24
危险品标志:Xi; N
主要应用
作为一种杀菌剂,主要用于白粉病害的防治。
毒性
大鼠急性经口 LD50>5000mg/kg,兔急性经皮 LD50>2000mg/kg,大鼠急性吸入LC50(4h)3.38mg/L。对兔眼睛有中度刺激,对兔皮肤无刺激。对豚鼠皮肤是否致敏取决于试验情况。狗饲喂52周、大鼠致癌饲喂2y、大鼠繁殖无作用剂量均为20mg/(kg .d)。ADI(mg/kg):(JMPR)0.2[2006],(EC)0.2[2004]。无致突变、致畸或致癌作用。
山齿鹑急性经口LD50>2250mg/kg。山齿鹑和野鸭饲喂LC50 (8d)>5620mg/kg饲料。鱼毒LC50( 96h,mg/L):虹雠鱼0.27,大翻车鱼>0.28,鲤鱼0.41。水蚤EC50(48h)0.08mg/L。羊角月牙藻EbC50(72h)0.058mg/L。摇蚊 NOEC(28d)0.128mg/L(水溶液)。蜜蜂LD50(48h)>100ug/只(经口和接触)。蚯蚓LC50( 14d)>923mg/kg土。其他有益生物:在试验条件和农田研究条件下,对大部分非目标物和有益节肢动物低毒。
环境影响
苯氧喹啉在植物、动物、土壤中的降解很慢。然而在酸性条件下的水解、水溶液中的光解以及在土壤/沉积物上的强烈吸附是主要的降解途径。苯氧喹啉及其代谢物不会渗到地下影响地下水。
杀菌机理
它主要通过影响病菌生长的整个过程和病菌的侵染,如孢子的萌发、吸器和附着胞的形成等。2003年相关研究研究了喹啉类药物对大麦白粉菌的作用机理进行了研究,表明其作用机制为改变大麦白粉菌的蛋白激酶C的积累,并催化生成了蛋白激酶A亚基。
主要参考文献
[1]杨方, 卢声宇, 陈祥明,等. 高效液相色谱法检测多种食品基体中残留的喹氧灵[J]. 色谱, 2008, 26(4):499-503.
[2]杨鹏, 张荣, 段霞瑜,等. 2008年我国主要麦区白粉菌群体对三唑酮和喹氧灵的敏感性监测[J]. 植物病理学报, 2010, 40(4):404-410.
安全信息
| 危险品标志 | Xi,N |
|---|---|
| 危险类别码 | 43-50/53 |
| 安全说明 | 24-37-46-60-61 |
| 危险品运输编号 | UN3077 9/PG 3 |
| WGK Germany | 3 |
| RTECS号 | VB4287500 |
| 危险等级 | 9 |
| 包装类别 | III |
| 海关编码 | 38220090 |
| 毒害物质数据 | 124495-18-7(Hazardous Substances Data) |
| 毒性 | LD50 orally in rats: >5000 mg/kg; dermally in rabbits: >2000 mg/kg; by inhalation in rats: >3.38 mg/l (Longhurst) |
MSDS信息
喹氧灵 价格(试剂级)
| 更新日期 | 产品编号 | 产品名称 | CAS号 | 包装 | 价格 |
|---|---|---|---|---|---|
| 2024/08/19 | Q0093 | 喹氧灵 Quinoxyfen | 124495-18-7 | 200mg | 270元 |
喹氧灵 上下游产品信息
上游原料
4,5,7-三氯喹啉3,5-二氯苯胺

